Pocisk przechodzący przez zwał piasku:
Pocisk w drewnianym klocku:
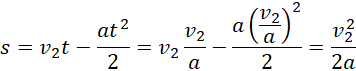
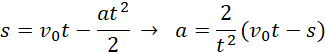
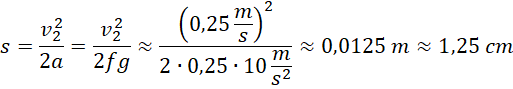
Na początku obliczamy prędkość pocisku po przejściu przez zwał piasku, korzystając z równań ruchu jednostajnie opóźnionego. Następnie za pomocą zasady zachowania pędu obliczamy prędkość, jaka zostanie nadana klockowi po wbiciu się w niego pocisku. Na koniec obliczamy drogę przebytą przez klocek ze wbitym pociskiem, korzystając ponownie z równań ruchu jednostajnie opóźnionego.