Oblicz szybkość, z jaką rzucono piłkę na wysokości 40 cm nad podłożem, jeśli na wysokości 1,2 m miała szybkość 0,5 m/s.
Rozwiązanie
Wyjaśnienie
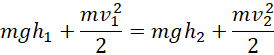
Korzystamy z zasady zachowania energii mechanicznej. Energia potencjalna i energia kinetyczna w pierwszym punkcie zmienia się w energię kinetyczną i energię potencjalną na wysokości 1,2 m.