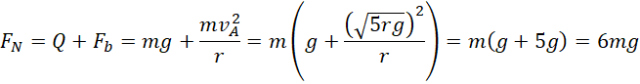
Na podstawie rysunku przedstawionego w podręczniku oblicz wartość nacisku ciała na podłoże w punkcie A.
Rozwiązanie
Wyjaśnienie
Zapisujemy zasadę zachowania energii, rozpatrując punkt na wysokości oraz w punkcie A. Następnie obliczamy siłę nacisku na równię, która jest równa sumie siły ciężkości i siły bezwładności.