Skul.pl
  • Opracowania zadań z podręczników
  • Fizyka. Klasa 8. Podręcznik - rozwiązania i odpowiedzi
  • Pytanie Podejmij temat 3

Fizyka. Klasa 8. Podręcznik - rozwiązania i odpowiedzi

Podręcznik, Wydawnictwo: MAC
Poprzednie

Pytanie Podejmij temat 3 - strona 21

Następne

Zadanie

W tym zadaniu musisz odpowiedzieć na pytanie, jak głęboka jest studnia, jeśli wiesz, że Ania musiała wykonać pracę o wartości 30 kJ, aby wyciągnąć wiadro z wodą ważące 15 kilogramów.

Rozwiązanie

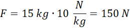
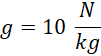
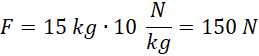
m = 15 kg

W = 30 kJ = 30000 J

F = ?

s = ?

Studnia miała głębokość 200 m.

Skul

Wyjaśnienie

Oblicz siłę ciężkości wiadra z wodą

Oblicz drogę, jaką pokonało wiadro wciągnięte przez Anię.

30 kJ = 30000 J

Poprzednie
Następne

Fizyka - wybrane pytania

Ćwiczenie 3., strona 32, Świat fizyki. Klasa 7. Zeszyt ćwiczeń - rozwiązania i odpowiedzi
Zadanie 10.10., strona 41, Zbiór zadań z fizyki dla szkoły podstawowej. Klasa 7-8 - rozwiązania i odpowiedzi
Zadanie 2, strona 81, Fizyka. Klasa 3. Zakres podstawowy. Podręcznik - rozwiązania i odpowiedzi
Zadanie 2, strona 154, Fizyka. Klasa 4. Poziom rozszerzony. Podręcznik - rozwiązania i odpowiedzi
Zadanie 16.4., strona 118, Zrozumieć fizykę 4. Zakres rozszerzony. Zbiór zadań - rozwiązania i odpowiedzi
Zadanie 1, strona 50, Spotkania z fizyką. Klasa 7. Zeszyt ćwiczeń - rozwiązania i odpowiedzi
Zadanie 13.26., strona 177, Fizyka. Klasa 7-8. Zbiór zadań - rozwiązania i odpowiedzi
Ćwiczenie 2., strona 126, Fizyka. Fizyka z plusem. Klasa 7. Podręcznik - rozwiązania i odpowiedzi
Ćwiczenie 3., strona 97, Świat fizyki. Klasa 7. Zeszyt ćwiczeń - rozwiązania i odpowiedzi
Zadanie 30.17., strona 103, Zbiór zadań z fizyki dla szkoły podstawowej. Klasa 7-8 - rozwiązania i odpowiedzi
REKLAMA
Skul
Zadania z tego działu
Powtórzenie wiadomości z klasy 7
5
Powtórzenie wiadomości z klasy 7
5

Pytanie 1

5
Z fizyką na ty
6

Pytanie Podejmij temat 1

6

Pytanie Podejmij temat 2

6

Pytanie Podejmij temat 3

6

Pytanie Podejmij temat 4

6

Pytanie Podejmij temat 5

6

Pytanie Podejmij temat 6

6
Ruch i siły
11

Pytanie Podejmij temat 1

11

Pytanie Podejmij temat 2

11

Pytanie Podejmij temat 3

11

Pytanie Podejmij temat 4

11

Pytanie Podejmij temat 5

11

Pytanie Podejmij temat 6

11

Pytanie Podejmij temat 7

11

Pytanie Podejmij temat 8

11
Właściwości materii
16

Pytanie Podejmij temat 1

16

Pytanie Podejmij temat 2

16

Pytanie Podejmij temat 3

16

Pytanie Podejmij temat 4

16

Pytanie Podejmij temat 5

16

Pytanie Podejmij temat 6

16

Pytanie Podejmij temat 7

16

Pytanie Podejmij temat 8

16

Pytanie Podejmij temat 9

16

Pytanie Podejmij temat 10

16

Pytanie Podejmij temat 11

16
Energia
21

Pytanie Podejmij temat 1

21

Pytanie Podejmij temat 2

21

Pytanie Podejmij temat 3

21

Pytanie Podejmij temat 4

21

Pytanie Podejmij temat 5

21

Pytanie Podejmij temat 6

21

Pytanie Podejmij temat 7

21

Pytanie Podejmij temat 8

21
Pełny spis treści
Skul
Artboard 1
Skul.pl
  • Napisz do nas
  • FAQ
  • Mapa Serwisu
  • Google Play
  • App Store

Korzystanie z portalu oznacza akceptację Regulaminu.
Polityka prywatności. Ustawienia preferencji. Copyright: INTERIA.PL 1999-2023 Wszystkie prawa zastrzeżone.