W momencie uderzenia w ziemię energia kinetyczna jest maksymalna, natomiast energia potencjalna wynosi 0 J, zatem:
Ania poprawnie oszacowała prędkość spadającego jabłka.
200 g = 0,2 kg
W chwili uderzenia o ziemię energia mechaniczna jabłka wynosiła 10 J.
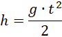
Jeżeli ciało o nieznanej masie spada swobodnie z pewnej wysokości, to wysokość tę można obliczyć, korzystając ze wzoru:
Jabłko spadło z wysokości 5 metrów.
Jeżeli masa ciała jest znana, można skorzystać z zasady zachowania energii. Tuż przed spadkiem ciało ma maksymalną energię potencjalną, a jego energia kinetyczna wynosi 0 J. Oznacza to, że energia mechaniczna jest równa energii potencjalnej. W tym przypadku wysokość, z jakiej spada ciało, można obliczyć, korzystając ze wzoru:
Energia mechaniczna ciała jest sumą energii potencjalnej i kinetycznej oraz jest wartością stałą.
W momencie uderzenia w ziemię energia kinetyczna jest maksymalna, natomiast energia potencjalna wynosi 0 J, zatem uznajemy, że energia mechaniczna równa jest energii kinetycznej.
Sprawdź, czy prędkość oszacowana przez Anię jest poprawna. Jabłko spada swobodnie na ziemię. Jest to ruch jednostajnie przyśpieszony bez prędkości początkowej z przyśpieszeniem ziemskim g. W takim przypadku prędkość ciała po określonym czasie wyrażona jest wzorem:
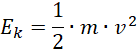
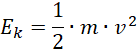
Ania poprawnie oszacowała prędkość spadającego jabłka. Oblicz energię kinetyczną.
200 g = 0,2 kg
W takim ruchu wysokość h, z której ciało o nieznanej masie spada swobodnie, możesz obliczyć ze wzoru:
Jeżeli znasz masę ciała, możesz skorzystać z zasady zachowania energii. Tuż przed spadkiem ciało ma maksymalną energię potencjalną, a jego energia kinetyczna wynosi 0 J. Oznacza to, że energia mechaniczna jest równa energii potencjalnej.