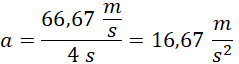
Δtk= 4 s
Przyspieszenie kolejki jest większe niż przyspieszenie bolidu Formuły F1.
m = 740 kg
Siła wypadkowa Fw działająca na bolid z kierowcą wynosi
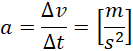
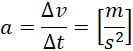
Aby obliczyć przyspieszenie kolejki, skorzystaj z poniższego wzoru, wiedząc, że Δv oznacza zmianę prędkości, a Δt czas, w jakim ta zmiana nastąpiła.
Wiadomo, że kolejka w ciągu 4 sekund osiąga szybkość
Przyspieszenie kolejki jest większe niż przyspieszenie bolidu Formuły F1.
Aby obliczyć siłę wypadkową działającą na bolid z kierowcą, skorzystaj z drugiej zasady dynamiki. Mówi ona, że jeśli dwie siły działające na ciało nie równoważą się, czyli siła wypadkowa Fw jest różna od 0, to ciało porusza się ruchem jednostajnie zmiennym, w którym przyspieszenie jest wprost proporcjonalne do wartości wypadkowej i odwrotnie proporcjonalne do masy. Siła wypadkowa wyrażana jest w niutonach, a
Siła wypadkowa Fw działająca na bolid z kierowcą wynosi