V = 1 l = 1000 cm3
P = 50 cm2
h = ?
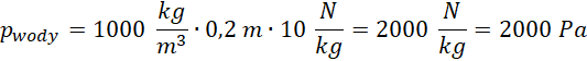
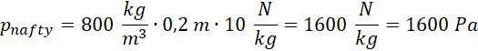
Gęstość wody = 1000 kg/m3, gęstość nafty = 800 kg/m3
Woda wywiera na dno ciśnienie 2000 Pa a nafta 1600 Pa.
Aby obliczyć, jakie jest ciśnienie hydrostatyczne wywierane przez te ciecze na dno pojemnika, skorzystaj ze wzoru.
d – gęstość cieczy
h – wysokość słupa cieczy
g – przyspieszenie grawitacyjne
Oblicz wysokość słupa cieczy h. Dla wody i nafty będzie ona taka sama. Skorzystaj ze wzoru, a wynik podaj w metrach.
Przyjmujemy, że gęstość wody to 1000 kg/m3. Gęstość nafty to 800 kg/m3, tę wartość musisz odszukać np. w Internecie.
Ciśnienia wywierane przez te ciecze na dno pojemnika są różne.