Skul.pl
  • Opracowania zadań z podręczników
  • Fizyka. Klasa 8. Podręcznik - rozwiązania i odpowiedzi
  • Pytanie Podejmij temat 2

Fizyka. Klasa 8. Podręcznik - rozwiązania i odpowiedzi

Podręcznik, Wydawnictwo: MAC
Poprzednie

Pytanie Podejmij temat 2 - strona 21

Następne

Zadanie

W tym zadaniu musisz obliczyć, jaka praca zostanie wykonana, jeśli 50 litrów wody spadnie na turbinę znajdującą się 10 metrów niżej.

Rozwiązanie

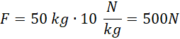
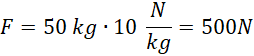
m = 50 kg

s = 10 m

F = ?

50 litrów wody spadające na turbinę z wysokości 10 metrów wykonuje pracę 5000 J.

Skul

Wyjaśnienie

Aby obliczyć, jaka praca została wykonana, skorzystaj ze wzoru W = F ∙ s. Woda o masie 50 kg pokonała spadek o długości 10 m. Oblicz siłę ciężkości wody.

Poprzednie
Następne

Fizyka - wybrane pytania

Zadanie 8.1., strona 109, Fizyka. Klasa 7-8. Zbiór zadań - rozwiązania i odpowiedzi
Zadanie 6., strona 233, Fizyka. Klasa 7-8. Zbiór zadań - rozwiązania i odpowiedzi
Zadanie 1., strona 156, Fizyka. To jest fizyka. Klasa 8. Podręcznik - rozwiązania i odpowiedzi
Zadanie 6, strona 140, Spotkania z fizyką. Klasa 7. Podręcznik - rozwiązania i odpowiedzi
Zadanie 4.4., strona 35, Fizyka. Klasa 7-8. Zbiór zadań - rozwiązania i odpowiedzi
Zadanie 1., strona 81, Fizyka. Klasa 1. Podręcznik. Zakres podstawowy - rozwiązania i odpowiedzi
Zadanie 6., strona 188, Fizyka. Klasa 7-8. Zbiór zadań - rozwiązania i odpowiedzi
Zadanie 53.11., strona 192, Zbiór zadań z fizyki dla szkoły podstawowej. Klasa 7-8 - rozwiązania i odpowiedzi
Zadanie 16.11.18., strona 113, Zrozumieć fizykę 4. Zakres rozszerzony. Zbiór zadań - rozwiązania i odpowiedzi
Zadanie 4., strona 136, Fizyka. Klasa 1. Podręcznik. Zakres podstawowy – rozwiązania i odpowiedzi
REKLAMA
Skul
Zadania z tego działu
Powtórzenie wiadomości z klasy 7
5
Powtórzenie wiadomości z klasy 7
5

Pytanie 1

5
Z fizyką na ty
6

Pytanie Podejmij temat 1

6

Pytanie Podejmij temat 2

6

Pytanie Podejmij temat 3

6

Pytanie Podejmij temat 4

6

Pytanie Podejmij temat 5

6

Pytanie Podejmij temat 6

6
Ruch i siły
11

Pytanie Podejmij temat 1

11

Pytanie Podejmij temat 2

11

Pytanie Podejmij temat 3

11

Pytanie Podejmij temat 4

11

Pytanie Podejmij temat 5

11

Pytanie Podejmij temat 6

11

Pytanie Podejmij temat 7

11

Pytanie Podejmij temat 8

11
Właściwości materii
16

Pytanie Podejmij temat 1

16

Pytanie Podejmij temat 2

16

Pytanie Podejmij temat 3

16

Pytanie Podejmij temat 4

16

Pytanie Podejmij temat 5

16

Pytanie Podejmij temat 6

16

Pytanie Podejmij temat 7

16

Pytanie Podejmij temat 8

16

Pytanie Podejmij temat 9

16

Pytanie Podejmij temat 10

16

Pytanie Podejmij temat 11

16
Energia
21

Pytanie Podejmij temat 1

21

Pytanie Podejmij temat 2

21

Pytanie Podejmij temat 3

21

Pytanie Podejmij temat 4

21

Pytanie Podejmij temat 5

21

Pytanie Podejmij temat 6

21

Pytanie Podejmij temat 7

21

Pytanie Podejmij temat 8

21
Pełny spis treści
Skul
Artboard 1
Skul.pl
  • Napisz do nas
  • FAQ
  • Mapa Serwisu
  • Google Play
  • App Store

Korzystanie z portalu oznacza akceptację Regulaminu.
Polityka prywatności. Ustawienia preferencji. Copyright: INTERIA.PL 1999-2023 Wszystkie prawa zastrzeżone.