Skul.pl
  • Opracowania zadań z podręczników
  • Fizyka. Klasa 8. Podręcznik - rozwiązania i odpowiedzi
  • Pytanie Podejmij temat 6

Fizyka. Klasa 8. Podręcznik - rozwiązania i odpowiedzi

Podręcznik, Wydawnictwo: MAC
Poprzednie

Pytanie Podejmij temat 6 - strona 21

Następne

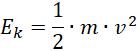
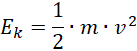
Zadanie

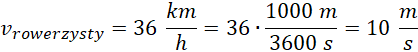
W tym zadaniu musisz obliczyć energię kinetyczną dzika ważącego 80 kg, poruszającego się z prędkością i energię kinetyczną rowerzysty ważącego 50 kg, poruszającego się z prędkością , a następnie je porównać.

Rozwiązanie

mdzika = 80 kg

mrowerzysty = 50 kg

Ek = ?

Energia kinetyczna dzika jest większa od energii kinetycznej rowerzysty.

Skul

Wyjaśnienie

Oblicz energię kinetyczną dzika i rowerzysty korzystając ze wzoru:

Poprzednie
Następne

Fizyka - wybrane pytania

Zadanie 7., strona 178, Fizyka. Klasa 7-8. Zbiór zadań - rozwiązania i odpowiedzi
Zadanie 1, strona 77, Spotkania z fizyką. Klasa 7. Podręcznik - rozwiązania i odpowiedzi
Ćwiczenie 3., strona 110, Fizyka. Klasa 8. Zeszyt ćwiczeń - rozwiązania i odpowiedzi
Zadanie 7.1.1, strona 14, Zrozumieć fizykę. Klasa 2. Zakres rozszerzony. Zbiór zadań - rozwiązania i odpowiedzi
Zadanie 1.2, strona 88, Zrozumieć fizykę. Klasa 1.Podręcznik. Zakres rozszerzony - rozwiązania i odpowiedzi
Zadanie 1, strona 44, To jest fizyka. Klasa 8. Zeszyt ćwiczeń - rozwiązania i odpowiedzi
Zadanie 3.2.5., strona 85, Zrozumieć fizykę. Klasa 1. Zakres rozszerzony. Zbiór zadań - rozwiązania i odpowiedzi
Zadanie 3, strona 53, Spotkania z fizyką. Klasa 8. Zeszyt ćwiczeń - rozwiązania i odpowiedzi
Zadanie 2.31., strona 19, Świat fizyki. Klasa 7. Zbiór zadań - rozwiązania i odpowiedzi
Zadanie 6., strona 188, Fizyka. To jest fizyka. Klasa 8. Podręcznik - rozwiązania i odpowiedzi
REKLAMA
Skul
Zadania z tego działu
Powtórzenie wiadomości z klasy 7
5
Powtórzenie wiadomości z klasy 7
5

Pytanie 1

5
Z fizyką na ty
6

Pytanie Podejmij temat 1

6

Pytanie Podejmij temat 2

6

Pytanie Podejmij temat 3

6

Pytanie Podejmij temat 4

6

Pytanie Podejmij temat 5

6

Pytanie Podejmij temat 6

6
Ruch i siły
11

Pytanie Podejmij temat 1

11

Pytanie Podejmij temat 2

11

Pytanie Podejmij temat 3

11

Pytanie Podejmij temat 4

11

Pytanie Podejmij temat 5

11

Pytanie Podejmij temat 6

11

Pytanie Podejmij temat 7

11

Pytanie Podejmij temat 8

11
Właściwości materii
16

Pytanie Podejmij temat 1

16

Pytanie Podejmij temat 2

16

Pytanie Podejmij temat 3

16

Pytanie Podejmij temat 4

16

Pytanie Podejmij temat 5

16

Pytanie Podejmij temat 6

16

Pytanie Podejmij temat 7

16

Pytanie Podejmij temat 8

16

Pytanie Podejmij temat 9

16

Pytanie Podejmij temat 10

16

Pytanie Podejmij temat 11

16
Energia
21

Pytanie Podejmij temat 1

21

Pytanie Podejmij temat 2

21

Pytanie Podejmij temat 3

21

Pytanie Podejmij temat 4

21

Pytanie Podejmij temat 5

21

Pytanie Podejmij temat 6

21

Pytanie Podejmij temat 7

21

Pytanie Podejmij temat 8

21
Pełny spis treści
Skul
Artboard 1
Skul.pl
  • Napisz do nas
  • FAQ
  • Mapa Serwisu
  • Google Play
  • App Store

Korzystanie z portalu oznacza akceptację Regulaminu.
Polityka prywatności. Ustawienia preferencji. Copyright: INTERIA.PL 1999-2023 Wszystkie prawa zastrzeżone.