F = ?
Siła nacisku powietrza na stolik wynosi 50000 N.
Aby uzyskać siłę nacisku równą sile nacisku powietrza trzeba by położyć na stoliku przedmioty o masie 5 ton.
Ciśnienie atmosferyczne 1000 hPa odpowiada naciskowi ciała o masie 10 ton na powierzchnię 1 m2.
Aby obliczyć siłę nacisku powietrza na stolik, musisz skorzystać ze wzoru:
Oblicz, jaką powierzchnię s ma blat stolika.
We wzorze ciśnienie p wyrażone jest w Pa, czyli:
Otrzymane dane podstaw do wzoru.
Siła nacisku powietrza na stolik wynosi 50000 N.
Teraz oblicz, jaka masa odpowiada sile nacisku wywieranej przez powietrze. Skorzystaj ze wzoru.
Aby uzyskać siłę nacisku równą sile nacisku powietrza trzeba by położyć na stoliku przedmioty o masie 5 ton.
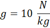
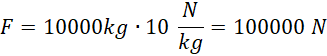
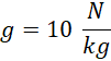
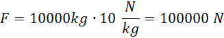
Następnie oblicz, jakie ciśnienie wywiera masa 10 ton, czyli 10000 kg na powierzchnię 1 m2.
Ciśnienie atmosferyczne 1000 hPa odpowiada naciskowi ciała o masie 10 ton na powierzchnię 1 m2.