Gęstość wody:
Głębokość:
Przyspieszenie ziemskie:
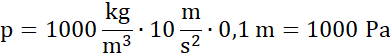
Ciśnienie:
Ciśnienie wywierane przez wodę na dno szklanki wynosi 1000 paskali.
Wzór na ciśnienie cieczy ma postać:
gdzie p – ciśnienie [Pa],
d – gęstość cieczy [
g – przyspieszenie ziemskie [
h – głębokość cieczy [m].