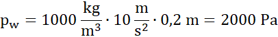
Gęstość wody:
Głębokość wody:
Przyspieszenie ziemskie:
Ciśnienie wody:
Nafta:
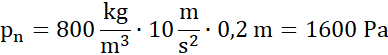
Gęstość nafty:
Głębokość nafty:
Przyspieszenie ziemskie:
Ciśnienie nafty:
Łączne ciśnienie:
Nafta i woda wywierają łącznie ciśnienie 3600 Pa na dno menzurki.
Wzór na ciśnienie cieczy ma postać:
gdzie p – ciśnienie [Pa],
d – gęstość cieczy [
g – przyspieszenie ziemskie [
h – głębokość cieczy [m].
Jeśli są w naczyniu 2 ciecze, to należy zsumować ich ciśnienia.