Gęstość rtęci:
Głębokość:
Przyspieszenie ziemskie:
Ciśnienie:
Powierzchnia:
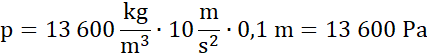
Ciśnienie:
Siła parcia:
Parcie wynosi 13,6 N
Wzór na ciśnienie cieczy ma postać:
gdzie p – ciśnienie [Pa],
d – gęstość cieczy [
g – przyspieszenie ziemskie [
h – głębokość cieczy [m].
Wykorzystaj wzór na siłę parcia:
gdzie F – siła parcia [N]
p – ciśnienie [Pa],
S – pole powierzchni [m2].