Masa:
Gęstość:
Objętość:
Gęstość wody:
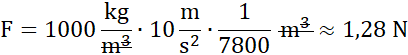
Siła wyporu:
Wskazanie siłomierza zmniejszy się o około 1,28 N.
Wykorzystaj wzór na siłę wyporu:
gdzie F – siła wyporu [N],
g – przyspieszenie ziemskie
d – gęstość cieczy lub gazu
V – objętość zanurzonego ciała [m3].
Wzór na gęstość ma postać:
gdzie
d – gęstość substancji [
m – masa substancji [kg],
V objętość substancji [m3].
Przekształć wzór, aby otrzymać wzór na objętość substancji.
Siłomierz wskazuje w powietrzu ciężar zawieszonego ciała. W wodzie ten ciężar jest pozornie lżejszy o wartość siły wyporu.