Objętość:
Gęstość:
Masa:
Siła ciężkości:
Ciężar:
Gęstość wody:
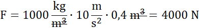
Siła wyporu:
Siła wypadkowa:
Kiedy belka jest w powietrzu, to na linę działa siła 31 200 N, a kiedy zostanie zanurzona w wodzie, to siła zmniejszy się do 27 200 N
Skorzystaj ze wzoru na ciężar ciała:
gdzie g – przyspieszenie ziemskie
Q – ciężar ciała [N],
m – masa ciała [kg].
Masę ciała można zastąpić iloczynem objętości i gęstości ciała.
Wykorzystaj wzór na siłę wyporu:
gdzie F – siła wyporu [N],
g – przyspieszenie ziemskie
d – gęstość cieczy lub gazu
V – objętość zanurzonego ciała [m3].
W powietrzu na belkę działa tylko ciężar ciała. W wodzie ciężar ten zmniejszy się o wartość siły wyporu skierowany ku górze.