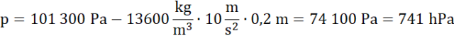
Gęstość rtęci:
Różnica poziomów:
Przyspieszenie ziemskie:
Ciśnienie atmosferyczne:
Ciśnienie gazu w butelce wynosi 741 hPa.
Wzór na ciśnienie cieczy ma postać:
gdzie p – ciśnienie [Pa],
d – gęstość cieczy [
g – przyspieszenie ziemskie [
h – głębokość cieczy [m].
Wyższy słup cieczy znajduje się po stronie zbiornika, co oznacza, że dla wyrównania się ciśnienia z ciśnieniem atmosferycznym potrzebowaliśmy wyższego słupa cieczy. Wynika z tego fakt, że otrzymane ciśnienie będzie mniejsze od ciśnienia atmosferycznego.