Skul.pl
  • Opracowania zadań z podręczników
  • Fizyka. Klasa 8. Podręcznik - rozwiązania i odpowiedzi
  • Pytanie Podejmij temat 1

Fizyka. Klasa 8. Podręcznik - rozwiązania i odpowiedzi

Podręcznik, Wydawnictwo: MAC
Poprzednie

Pytanie Podejmij temat 1 - strona 16

Następne

Zadanie

W tym zadaniu musisz odpowiedzieć na pytanie, czy 600 g nafty zmieści się w pojemniku o pojemności 500 ml.

Rozwiązanie

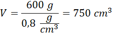
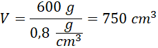
Gęstość nafty to 0,8 g/cm.

m = 600 g

V = ?

0,5 l = 500 cm3

600 g nafty nie zmieści się w pojemniku o pojemności 0,5 l.

Skul

Wyjaśnienie

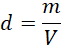
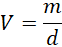
Gęstość nafty to 0,8 g/cm³. Korzystając z poniższego wzoru oblicz, jaką objętość zajmie 600 g nafty.

0,5 l = 500 cm3

600 g nafty nie zmieści się w pojemniku o pojemności 0,5 l.

Poprzednie
Następne

Fizyka - wybrane pytania

Zadanie 3, strona 128, Fizyka. Klasa 4. Poziom rozszerzony. Podręcznik - rozwiązania i odpowiedzi
Zadanie 6.71., strona 93, Fizyka. Klasa 7-8. Zbiór zadań - rozwiązania i odpowiedzi
Zadanie 2., strona 39, Fizyka z plusem. Klasa 8. Zeszyt ćwiczeń – rozwiązania i odpowiedzi
Ćwiczenie 10.4., strona 23, Świat fizyki. Klasa 8. Zbiór zadań - rozwiązania i odpowiedzi
Zadanie 4.87., strona 51, Fizyka. Klasa 7-8. Zbiór zadań - rozwiązania i odpowiedzi
Ćwiczenie 6., strona 61, Fizyka. Świat fizyki. Klasa 8. Zeszyt ćwiczeń - rozwiązania i odpowiedzi
Zadanie 5., strona 35, Odkryć fizykę. Klasa 3. Zakres podstawowy. Podręcznik - rozwiązania i odpowiedzi
Zadanie 5., strona 195, Świat fizyki. Klasa 7. Podręcznik - rozwiązania i odpowiedzi
Zadanie 4, strona 99, Zrozumieć fizykę. Klasa 1.Podręcznik. Zakres rozszerzony - rozwiązania i odpowiedzi
Zadanie 5, strona 104, Spotkania z fizyką. Klasa 7. Podręcznik - rozwiązania i odpowiedzi
REKLAMA
Skul
Zadania z tego działu
Powtórzenie wiadomości z klasy 7
5
Powtórzenie wiadomości z klasy 7
5

Pytanie 1

5
Z fizyką na ty
6

Pytanie Podejmij temat 1

6

Pytanie Podejmij temat 2

6

Pytanie Podejmij temat 3

6

Pytanie Podejmij temat 4

6

Pytanie Podejmij temat 5

6

Pytanie Podejmij temat 6

6
Ruch i siły
11

Pytanie Podejmij temat 1

11

Pytanie Podejmij temat 2

11

Pytanie Podejmij temat 3

11

Pytanie Podejmij temat 4

11

Pytanie Podejmij temat 5

11

Pytanie Podejmij temat 6

11

Pytanie Podejmij temat 7

11

Pytanie Podejmij temat 8

11
Właściwości materii
16

Pytanie Podejmij temat 1

16

Pytanie Podejmij temat 2

16

Pytanie Podejmij temat 3

16

Pytanie Podejmij temat 4

16

Pytanie Podejmij temat 5

16

Pytanie Podejmij temat 6

16

Pytanie Podejmij temat 7

16

Pytanie Podejmij temat 8

16

Pytanie Podejmij temat 9

16

Pytanie Podejmij temat 10

16

Pytanie Podejmij temat 11

16
Energia
21

Pytanie Podejmij temat 1

21

Pytanie Podejmij temat 2

21

Pytanie Podejmij temat 3

21

Pytanie Podejmij temat 4

21

Pytanie Podejmij temat 5

21

Pytanie Podejmij temat 6

21

Pytanie Podejmij temat 7

21

Pytanie Podejmij temat 8

21
Pełny spis treści
Skul
Artboard 1
Skul.pl
  • Napisz do nas
  • FAQ
  • Mapa Serwisu
  • Google Play
  • App Store

Korzystanie z portalu oznacza akceptację Regulaminu.
Polityka prywatności. Ustawienia preferencji. Copyright: INTERIA.PL 1999-2023 Wszystkie prawa zastrzeżone.