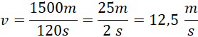
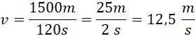
s = 1500 m
t = 2 min = 120 s
v = ?
Średnia szybkość przejazdu wynosiła
Wiadomo, że kolejka przejechała 1500 metrów w 2 minuty. Przekształć jednostkę tak, aby otrzymać sekundy. Jedna minuta to 60 sekund.
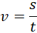
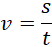
Oblicz prędkość korzystając ze wzoru:
Średnia szybkość przejazdu wynosiła