Masa ciała na Ziemi; Masa ciała na Księżycu; Siła ciężkości na Ziemi; Masa ciała na Księżycu
6 kg; 6 kg; 60 N; 10 N
18 kg; 18 kg; 180 N; 30 N
30 kg; 30 kg; 300 N; 50 N
12 kg; 12 kg; 120 N; 20 N
Wskazówka! Pamiętaj, że na Księżycu przyspieszenie grawitacyjne jest 6 razy mniejsze niż na Ziemi.
Masa ciała jest własnością niezmienną i niezależną od przyspieszenia grawitacyjnego działającego danym miejscu.
Obliczenia dla pierwszego wiersza tabeli:
Obliczenia dla drugiego wiersza tabeli:
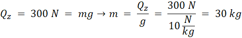
Obliczenia dla trzeciego wiersza tabeli:
Obliczenia dla czwartego wiersza tabeli: