Skul.pl
  • Opracowania zadań z podręczników
  • To jest fizyka. Klasa 7. Zeszyt ćwiczeń - rozwiązania i odpowiedzi
  • Zadanie 2.

To jest fizyka. Klasa 7. Zeszyt ćwiczeń - rozwiązania i odpowiedzi

Zeszyt ćwiczeń, Wydawnictwo: Nowa Era
Poprzednie

Zadanie 2. - strona 48

Następne

Zadanie

Oblicz prędkości, jakie ciało ma w danej chwili spadku swobodnego.

Rozwiązanie

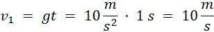
Po 1 s –

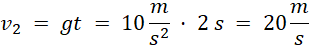
Po 2 s –

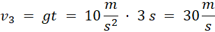
Po 3 s –

Skul

Wyjaśnienie

Ciała spadające spadkiem swobodnym porusza się ruchem jednostajnie przyspieszonym, prędkość w takim ruchu policzysz ze wzoru: v = gt

Poprzednie
Następne

Fizyka - wybrane pytania

Zadanie 3., strona 81, Odkryć fizykę. Klasa 2. Podręcznik. Zakres podstawowy - rozwiązania i odpowiedzi
Ćwiczenie 12.60., strona 183, Fizyka. Klasa 1-3. Zakres podstawowy. Zbiór zadań - rozwiązania i odpowiedzi
Zadanie 19.10, strona 290, Zrozumieć fizykę 4. Zakres rozszerzony. Zbiór zadań - rozwiązania i odpowiedzi
Ćwiczenie 2.64., strona 32, Fizyka. Klasa 1-3. Zakres podstawowy. Zbiór zadań - rozwiązania i odpowiedzi
Zadanie 7, strona 93, Spotkania z fizyką. Klasa 7. Podręcznik - rozwiązania i odpowiedzi
Zadanie 5.3.8., strona 183, Zrozumieć fizykę. Klasa 1. Zakres rozszerzony. Zbiór zadań - rozwiązania i odpowiedzi
Zadanie 10.1.5., strona 191, Zrozumieć fizykę. Klasa 2. Zakres rozszerzony. Zbiór zadań - rozwiązania i odpowiedzi
Zadanie 16.4., strona 224, Fizyka. Klasa 7-8. Zbiór zadań - rozwiązania i odpowiedzi
Zadanie 12.11., strona 46, Zbiór zadań z fizyki dla szkoły podstawowej. Klasa 7-8 - rozwiązania i odpowiedzi
Pytanie 7.11, strona 51, Fizyka. Klasa 4. Zakres rozszerzony. Zbiór zadań - rozwiązania i odpowiedzi
REKLAMA
Skul
Zadania z tego działu
III. Siła wpływa na ruch
41
15. Druga zasada dynamiki
41

Zadanie 1.

41

Podpunkt a)

41

Podpunkt b)

41

Zadanie 2.

41

Zadanie 3.

41

Podpunkt b)

41

Podpunkt c)

41

Zadanie 4.

42

Podpunkt b)

42

Podpunkt c)

42

Zadanie Siła rozpędzająca rower

42
16. Druga zasada dynamiki a ruch ciał
43

Zadanie 1.

43

Podpunkt a)

43

Podpunkt b)

43

Zadanie 2.

44

Podpunkt a)

44

Podpunkt b)

44

Podpunkt c)

44

Zadanie Siła rozpędzająca rower

45
17. Masa a siła ciężkości
46

Zadanie 1.

46

Zadanie 2.

46

Podpunkt a)

46

Podpunkt b)

46

Podpunkt c)

46

Podpunkt d)

46

Zadanie 3.

46

Zadanie 4.

47

Zadanie Waga jako siłomierz.

47
18. Spadek swobodny
48

Zadanie 1.

48

Zadanie 2.

48

Zadanie 3.

49

Zadanie Gdzie przylepić plastelinę

49
19. Trzecia zasada dynamiki
50

Zadanie 1.

50

Zadanie 2.

50

Podpunkt a)

50

Podpunkt b)

50

Podpunkt c)

50

Podpunkt d)

50

Podpunkt e)

50

Podpunkt f)

50

Zadanie 3.

51

Zadanie 4.

51

Zadanie 5.

51
20. Tarcie
52

Zadanie 1.

52

Podpunkt a)

52

Podpunkt b)

52

Podpunkt c)

52

Zadanie 2.

52

Podpunkt a)

52

Podpunkt b)

52

Zadanie 4.

53

Podpunkt a)

53

Podpunkt b)

53

Zadanie 5.

53

Podpunkt a)

53

Podpunkt b)

53

Zadanie 6.

54

Podpunkt a)

54

Podpunkt b)

54
Sprawdź, czy potrafisz
56

Zadanie 1.

56

Zadanie 2.

56

Zadanie 3.

56

Zadanie 4.

56

Zadanie 5.

56
Pełny spis treści
Skul
Artboard 1
Skul.pl
  • Napisz do nas
  • FAQ
  • Mapa Serwisu
  • Google Play
  • App Store

Korzystanie z portalu oznacza akceptację Regulaminu.
Polityka prywatności. Ustawienia preferencji. Copyright: INTERIA.PL 1999-2023 Wszystkie prawa zastrzeżone.