Masa ciała m; Siła wypadkowa F działająca na ciało; Przyspieszenie a wywołane przez siłę
5 kg; 200 N;
2 kg; 0,6 N;
100 kg; 500 N;
10 kg; 3 N;
40 kg; 200 N;
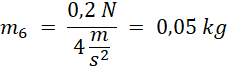
0,05 kg; 0,2 N;
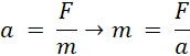
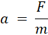
Pamiętaj o drugiej zasadzie dynamiki, na jej podstawie możesz wyznaczyć przyspieszenie ciała na jakie działa pewna siła, możesz też przekształcać ten wzór, aby wyznaczyć wartość siły działającej na ciało czy jego masę.