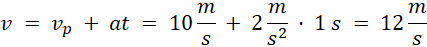
Po 1 s –
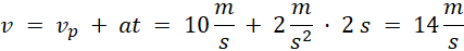
Po 2 s –
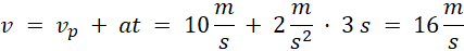
Po 3 s –
Z drugiej zasady dynamiki możesz obliczyć przyspieszenie samochodu:
Natomiast prędkość samochodu w danej chwili możesz obliczyć ze wzoru v = vp + at lub z toku myślenia, czym jest przyspieszenie (przyspieszenie mówi, że samochód w każdej sekundzie zwiększy swoje przyspieszenie o określoną wielkość). Po 1 s prędkość wyniesie:
Po 2 s prędkość wyniesie:
Po 3 s prędkość wyniesie: