Skul.pl
  • Opracowania zadań z podręczników
  • To jest fizyka. Klasa 7. Zeszyt ćwiczeń - rozwiązania i odpowiedzi
  • Podpunkt c)

To jest fizyka. Klasa 7. Zeszyt ćwiczeń - rozwiązania i odpowiedzi

Zeszyt ćwiczeń, Wydawnictwo: Nowa Era
Poprzednie

Zadanie 3., c) - strona 41

Następne

Zadanie

Oblicz przyspieszenie wózka.

Rozwiązanie

Skul

Wyjaśnienie

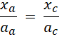
Wektor siły działającej na wózek w podpunkcie a) ma długość 1,5 cm, a ta działająca w podpunkcie c) 0,7 cm. Ponieważ masa wózka w obu przypadkach jest taka sama, to wartość przyspieszenia będzie zależeć tylko od działającej siły. Aby obliczyć wartość przyspieszenia wózka w podpunkcie a) możesz ułożyć proporcję:

Poprzednie
Następne

Fizyka - wybrane pytania

Zadanie 13.8.11., strona 205, Zrozumieć fizykę 3. Zakres rozszerzony. Zbiór zadań - rozwiązania i odpowiedz.
Zadanie 2, strona 23, Spotkania z fizyką. Klasa 7. Zeszyt ćwiczeń - rozwiązania i odpowiedzi
Zadanie więcej 1., strona 53, Fizyka. Fizyka z plusem. Klasa 7. Podręcznik - rozwiązania i odpowiedzi
Zadanie 49.1, strona 158, Fizyka. Klasa 2. Zakres rozszerzony. Zbiór zadań - rozwiązania i odpowiedzi
Zadanie 4, strona 201, Fizyka. Klasa 7. Podręcznik – rozwiązania i odpowiedzi
Ćwiczenie 2., strona 65, Świat fizyki. Klasa 7. Zeszyt ćwiczeń - rozwiązania i odpowiedzi
Zadanie 60.12., strona 222, Zbiór zadań z fizyki dla szkoły podstawowej. Klasa 7-8 - rozwiązania i odpowiedzi
Zadanie 16, strona 109, Fizyka. Klasy 1-3. Zakres podstawowy. Zbiór zadań - rozwiązania i odpowiedzi
Zadanie 16.21., strona 227, Fizyka. Klasa 7-8. Zbiór zadań - rozwiązania i odpowiedzi
Ćwiczenie 1., strona 29, Fizyka. Świat fizyki. Klasa 8. Zeszyt ćwiczeń - rozwiązania i odpowiedzi
REKLAMA
Skul
Zadania z tego działu
III. Siła wpływa na ruch
41
15. Druga zasada dynamiki
41

Zadanie 1.

41

Podpunkt a)

41

Podpunkt b)

41

Zadanie 2.

41

Zadanie 3.

41

Podpunkt b)

41

Podpunkt c)

41

Zadanie 4.

42

Podpunkt b)

42

Podpunkt c)

42

Zadanie Siła rozpędzająca rower

42
16. Druga zasada dynamiki a ruch ciał
43

Zadanie 1.

43

Podpunkt a)

43

Podpunkt b)

43

Zadanie 2.

44

Podpunkt a)

44

Podpunkt b)

44

Podpunkt c)

44

Zadanie Siła rozpędzająca rower

45
17. Masa a siła ciężkości
46

Zadanie 1.

46

Zadanie 2.

46

Podpunkt a)

46

Podpunkt b)

46

Podpunkt c)

46

Podpunkt d)

46

Zadanie 3.

46

Zadanie 4.

47

Zadanie Waga jako siłomierz.

47
18. Spadek swobodny
48

Zadanie 1.

48

Zadanie 2.

48

Zadanie 3.

49

Zadanie Gdzie przylepić plastelinę

49
19. Trzecia zasada dynamiki
50

Zadanie 1.

50

Zadanie 2.

50

Podpunkt a)

50

Podpunkt b)

50

Podpunkt c)

50

Podpunkt d)

50

Podpunkt e)

50

Podpunkt f)

50

Zadanie 3.

51

Zadanie 4.

51

Zadanie 5.

51
20. Tarcie
52

Zadanie 1.

52

Podpunkt a)

52

Podpunkt b)

52

Podpunkt c)

52

Zadanie 2.

52

Podpunkt a)

52

Podpunkt b)

52

Zadanie 4.

53

Podpunkt a)

53

Podpunkt b)

53

Zadanie 5.

53

Podpunkt a)

53

Podpunkt b)

53

Zadanie 6.

54

Podpunkt a)

54

Podpunkt b)

54
Sprawdź, czy potrafisz
56

Zadanie 1.

56

Zadanie 2.

56

Zadanie 3.

56

Zadanie 4.

56

Zadanie 5.

56
Pełny spis treści
Skul
Artboard 1
Skul.pl
  • Napisz do nas
  • FAQ
  • Mapa Serwisu
  • Google Play
  • App Store

Korzystanie z portalu oznacza akceptację Regulaminu.
Polityka prywatności. Ustawienia preferencji. Copyright: INTERIA.PL 1999-2023 Wszystkie prawa zastrzeżone.