0 s –
Po 1 s –
Po 2 s –
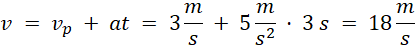
Po 3 s –
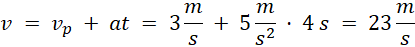
Po 4 s –
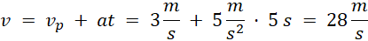
Po 5 s –
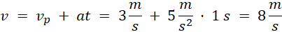
Prędkość ciała w danej chwili możesz obliczyć ze wzoru v = vp + at lub z toku myślenia, czym jest przyspieszenie (przyspieszenie mówi, że samochód w każdej sekundzie zwiększy swoje przyspieszenie o określoną wielkość). Po 1 s prędkość wyniesie:
Po 2 s prędkość wyniesie:
Po 3 s prędkość wyniesie:
Po 2 s prędkość wyniesie:
Po 3 s prędkość wyniesie: