Skul.pl
  • Opracowania zadań z podręczników
  • To jest fizyka. Klasa 7. Zeszyt ćwiczeń - rozwiązania i odpowiedzi
  • Zadanie 4.

To jest fizyka. Klasa 7. Zeszyt ćwiczeń - rozwiązania i odpowiedzi

Zeszyt ćwiczeń, Wydawnictwo: Nowa Era
Poprzednie

Zadanie 4. - strona 56

Następne

Zadanie

Na podstawie informacji na rysunku odpowiedz na pytania.

Rozwiązanie

Skul

Wyjaśnienie

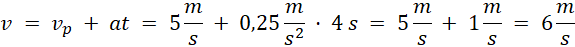
Prędkość samochodu, który poruszał się z pewną prędkością początkową i zaczął przyspieszać, obliczysz ze wzoru v = vp + at.

W poprzednim podpunkcie obliczyłeś, że samochód ma przyspieszenie .

W takim razie po 4 sekundach przyspieszenia samochód osiągnie prędkość:

Poprzednie
Następne

Fizyka - wybrane pytania

Zadanie Dasz sobie z tym radę? – Świetnie! 1., strona 56, Odkryć fizykę. Klasa 3. Zakres podstawowy. Podręcznik - rozwiązania i odpowiedzi
Zadanie 38.16., strona 144, Zbiór zadań z fizyki dla szkoły podstawowej. Klasa 7-8 - rozwiązania i odpowiedzi
Zadanie 4., strona 178, Fizyka. Klasa 7-8. Zbiór zadań - rozwiązania i odpowiedzi
Ćwiczenie 6., strona 6, Fizyka. Klasa 7. Zeszyt ćwiczeń – rozwiązania i odpowiedzi
Zadanie 5.98., strona 74, Fizyka. Klasa 7-8. Zbiór zadań - rozwiązania i odpowiedzi
Zadanie 1, strona 29, Fizyka. Klasy 1-3. Zakres podstawowy. Zbiór zadań - rozwiązania i odpowiedzi
Zadanie 6, strona 113, Fizyka. Klasa 7. Podręcznik - rozwiązania i odpowiedzi
Zadanie 13., strona 222, Fizyka. Klasa 7-8. Zbiór zadań - rozwiązania i odpowiedzi
Zadanie 1.1., strona 143, Zrozumieć fizykę. Klasa 3. Zakres rozszerzony. Podręcznik - rozwiązania i odpowiedzi
Zadanie 2.3., strona 82, Zrozumieć fizykę 3. Zakres rozszerzony. Zbiór zadań - rozwiązania i odpowiedz.
REKLAMA
Skul
Zadania z tego działu
III. Siła wpływa na ruch
41
15. Druga zasada dynamiki
41

Zadanie 1.

41

Podpunkt a)

41

Podpunkt b)

41

Zadanie 2.

41

Zadanie 3.

41

Podpunkt b)

41

Podpunkt c)

41

Zadanie 4.

42

Podpunkt b)

42

Podpunkt c)

42

Zadanie Siła rozpędzająca rower

42
16. Druga zasada dynamiki a ruch ciał
43

Zadanie 1.

43

Podpunkt a)

43

Podpunkt b)

43

Zadanie 2.

44

Podpunkt a)

44

Podpunkt b)

44

Podpunkt c)

44

Zadanie Siła rozpędzająca rower

45
17. Masa a siła ciężkości
46

Zadanie 1.

46

Zadanie 2.

46

Podpunkt a)

46

Podpunkt b)

46

Podpunkt c)

46

Podpunkt d)

46

Zadanie 3.

46

Zadanie 4.

47

Zadanie Waga jako siłomierz.

47
18. Spadek swobodny
48

Zadanie 1.

48

Zadanie 2.

48

Zadanie 3.

49

Zadanie Gdzie przylepić plastelinę

49
19. Trzecia zasada dynamiki
50

Zadanie 1.

50

Zadanie 2.

50

Podpunkt a)

50

Podpunkt b)

50

Podpunkt c)

50

Podpunkt d)

50

Podpunkt e)

50

Podpunkt f)

50

Zadanie 3.

51

Zadanie 4.

51

Zadanie 5.

51
20. Tarcie
52

Zadanie 1.

52

Podpunkt a)

52

Podpunkt b)

52

Podpunkt c)

52

Zadanie 2.

52

Podpunkt a)

52

Podpunkt b)

52

Zadanie 4.

53

Podpunkt a)

53

Podpunkt b)

53

Zadanie 5.

53

Podpunkt a)

53

Podpunkt b)

53

Zadanie 6.

54

Podpunkt a)

54

Podpunkt b)

54
Sprawdź, czy potrafisz
56

Zadanie 1.

56

Zadanie 2.

56

Zadanie 3.

56

Zadanie 4.

56

Zadanie 5.

56
Pełny spis treści
Skul
Artboard 1
Skul.pl
  • Napisz do nas
  • FAQ
  • Mapa Serwisu
  • Google Play
  • App Store

Korzystanie z portalu oznacza akceptację Regulaminu.
Polityka prywatności. Ustawienia preferencji. Copyright: INTERIA.PL 1999-2023 Wszystkie prawa zastrzeżone.