Skul.pl
  • Opracowania zadań z podręczników
  • To jest fizyka. Klasa 7. Zeszyt ćwiczeń - rozwiązania i odpowiedzi
  • Podpunkt a)

To jest fizyka. Klasa 7. Zeszyt ćwiczeń - rozwiązania i odpowiedzi

Zeszyt ćwiczeń, Wydawnictwo: Nowa Era
Poprzednie

Zadanie 2., a) - strona 44

Następne

Zadanie

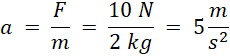
Oblicz przyspieszenie ciała.

Rozwiązanie

Skul

Wyjaśnienie

Z drugiej zasady dynamiki możesz obliczyć przyspieszenie ciała:

Poprzednie
Następne

Fizyka - wybrane pytania

Zadanie 21., strona 196, Odkryć fizykę. Klasa 2. Podręcznik. Zakres podstawowy - rozwiązania i odpowiedzi
Zadanie 4, strona 123, Fizyka. Klasa 7. Podręcznik - rozwiązania i odpowiedzi
Zadanie 7., strona 113, Odkryć fizykę. Klasa 2. Podręcznik. Zakres podstawowy - rozwiązania i odpowiedzi
Zadanie 45., strona 328, Odkryć fizykę. Klasa 3. Zakres podstawowy. Podręcznik - rozwiązania i odpowiedzi
Zadanie 3., strona 24, Fizyka. Klasa 1. Podręcznik. Zakres podstawowy – rozwiązania i odpowiedzi
Zadanie 5., strona 229, Zrozumieć fizykę. Klasa 2. Podręcznik. Zakres rozszerzony - rozwiązania i odpowiedzi
Zadanie Wyłączone? Niezupełnie., strona 72, To jest fizyka. Klasa 7. Zeszyt ćwiczeń - rozwiązania i odpowiedzi
Ćwiczenie 2., strona 110, Fizyka. Klasa 8. Zeszyt ćwiczeń - rozwiązania i odpowiedzi
Ćwiczenie 3.26., strona 43, Fizyka. Klasa 1-3. Zakres podstawowy. Zbiór zadań - rozwiązania i odpowiedzi
Zadanie 5.1., strona 208, Zrozumieć fizykę. Klasa 1. Zakres rozszerzony. Zbiór zadań - rozwiązania i odpowiedzi
REKLAMA
Skul
Zadania z tego działu
III. Siła wpływa na ruch
41
15. Druga zasada dynamiki
41

Zadanie 1.

41

Podpunkt a)

41

Podpunkt b)

41

Zadanie 2.

41

Zadanie 3.

41

Podpunkt b)

41

Podpunkt c)

41

Zadanie 4.

42

Podpunkt b)

42

Podpunkt c)

42

Zadanie Siła rozpędzająca rower

42
16. Druga zasada dynamiki a ruch ciał
43

Zadanie 1.

43

Podpunkt a)

43

Podpunkt b)

43

Zadanie 2.

44

Podpunkt a)

44

Podpunkt b)

44

Podpunkt c)

44

Zadanie Siła rozpędzająca rower

45
17. Masa a siła ciężkości
46

Zadanie 1.

46

Zadanie 2.

46

Podpunkt a)

46

Podpunkt b)

46

Podpunkt c)

46

Podpunkt d)

46

Zadanie 3.

46

Zadanie 4.

47

Zadanie Waga jako siłomierz.

47
18. Spadek swobodny
48

Zadanie 1.

48

Zadanie 2.

48

Zadanie 3.

49

Zadanie Gdzie przylepić plastelinę

49
19. Trzecia zasada dynamiki
50

Zadanie 1.

50

Zadanie 2.

50

Podpunkt a)

50

Podpunkt b)

50

Podpunkt c)

50

Podpunkt d)

50

Podpunkt e)

50

Podpunkt f)

50

Zadanie 3.

51

Zadanie 4.

51

Zadanie 5.

51
20. Tarcie
52

Zadanie 1.

52

Podpunkt a)

52

Podpunkt b)

52

Podpunkt c)

52

Zadanie 2.

52

Podpunkt a)

52

Podpunkt b)

52

Zadanie 4.

53

Podpunkt a)

53

Podpunkt b)

53

Zadanie 5.

53

Podpunkt a)

53

Podpunkt b)

53

Zadanie 6.

54

Podpunkt a)

54

Podpunkt b)

54
Sprawdź, czy potrafisz
56

Zadanie 1.

56

Zadanie 2.

56

Zadanie 3.

56

Zadanie 4.

56

Zadanie 5.

56
Pełny spis treści
Skul
Artboard 1
Skul.pl
  • Napisz do nas
  • FAQ
  • Mapa Serwisu
  • Google Play
  • App Store

Korzystanie z portalu oznacza akceptację Regulaminu.
Polityka prywatności. Ustawienia preferencji. Copyright: INTERIA.PL 1999-2023 Wszystkie prawa zastrzeżone.