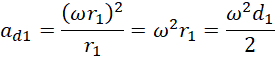
Przyspieszenie dośrodkowe felgi:
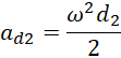
Przyspieszenie dośrodkowe opony (analogicznie jak felgi):
Różnica przyspieszeń dośrodkowych:
Odp. Przyspieszenia dośrodkowe różnią się o 1,08
Aby wyznaczyć różnice przyspieszeń dośrodkowych, wyznacz najpierw przyspieszenie dośrodkowe felgi, a następnie opony. Następnie odejmij od siebie te wartości. Wykorzystaj zależność pomiędzy prędkością liniową a prędkością kątową.