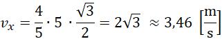
Bom łódki z jej osią tworzy kąt prosty, natomiast wiatr, który wieje z prędkością , tworzy z tą osią kąt 30°. Opór powietrza powoduje, że prędkość łódki zmniejsza się o 20 % prędkości wiatru. Wyznacz składową równoległą prędkości do osi tej łódki.
Rozwiązanie
Uwzględnienie wiatru:
Wyjaśnienie
Jeśli opór powietrza powoduje, że prędkość łódki zmniejsza się o 20 % to znaczy, że każda składowa zmniejsza się o tę wartość, czyli tak naprawdę będzie to 80 % wartości prędkości.