Zadanie

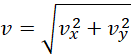
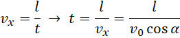
Tenisista odbija piłeczkę od pionowej ściany w odległości 8 metrów, nadając jej prędkość początkową 40 pod kątem = 45° do ziemi. Policz, jaki jest kąt, jaki wektor prędkości tworzy ze ścianą, a także wektor prędkości piłki w chwili, gdy uderza o ścianę. W obliczeniach masz założyć, że przyspieszenie ziemskie wynosi 10 .

Rozwiązanie

Wyjaśnienie

Zadania z tego działu
3. Ruch krzywoliniowy
68