Zadanie

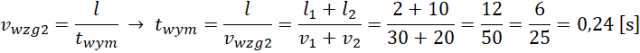
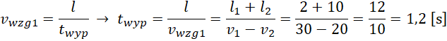
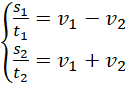
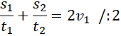
Na drodze poruszają się dwa samochody: pierwszy dwumetrowy i drugi dziesięciometrowy. Gdy poruszają się w taką samą stronę, to pierwszy z nich co dwie sekundy oddala się od drugiego o 20 metrów. Kiedy jadą naprzeciwko siebie, to co 3 sekundy zbliżają się do siebie o 150 metrów. Oblicz, jakie wartości wskazują prędkościomierze i jak długo trwa manewr wyprzedzania i wymijania.

Rozwiązanie

Wyjaśnienie

Zadania z tego działu
3. Ruch krzywoliniowy
68