Zadanie

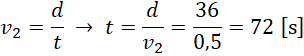
Rzeka ma szerokość 36 metrów i woda płynie w niej z prędkością 3 . Antylopa przeprawia się na drugi brzeg z prędkością 0,5 prostopadle względem brzegu. Kiedy antylopa zaczęła przejście przez rzekę, po przeciwnej stronie ruszył krokodyl wzdłuż linii brzegu. Policz, z jaką prędkością musi płynąć, aby zaatakować antylopę, która będzie wychodziła z wody. Oblicz też, jaką drogę pokona w tym czasie.

Rozwiązanie

Wyjaśnienie

Zadania z tego działu
3. Ruch krzywoliniowy
68