Zadanie

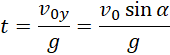
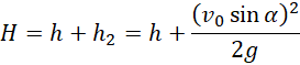
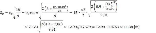
Przyszli żeglarze rzucają rzutką ratunkową do koła o średnicy wewnętrznej 0,5 m z odległości 21 m. Sprawdź, czy rzutka wpadnie do środka koła, jeśli żeglarz wyrzuci ją z prędkością 15 z wysokości 0,9 m, pod kątem = 30° do poziomu.

Rozwiązanie

Wyjaśnienie

Zadania z tego działu
3. Ruch krzywoliniowy
68