Skul.pl
  • Opracowania zadań z podręczników
  • Fizyka. Klasa 8. Zeszyt ćwiczeń - rozwiązania i odpowiedzi
  • Ćwiczenie 6.

Fizyka. Klasa 8. Zeszyt ćwiczeń - rozwiązania i odpowiedzi

Zeszyt ćwiczeń, Wydawnictwo: MAC
Poprzednie

Ćwiczenie 6. - strona 27

Następne

Zadanie

Oblicz okresy drgań i częstotliwości i wpisz je do tabeli.

Rozwiązanie

Liczba drgańCzas trwania drgańOkres drgań (s)Częstotliwość drgań (Hz)
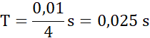
40,01 s0,0025400
601 min11
3601 h100,1

I:

Okres:

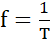
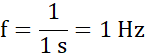
Częstotliwość:

II:

III:

Skul

Wyjaśnienie

Wykorzystaj wzór na częstotliwość:

,

gdzie f – częstotliwość drgań [Hz],

T – okres drgań [s]. W celu wyliczenia okresu podziel czas trwania drgań przez ich liczbę. Okres to czas trwania jednego, pełnego drgnienia.

Poprzednie
Następne

Fizyka - wybrane pytania

Zadanie 1., strona 46, Fizyka. Klasa 7-8. Zbiór zadań - rozwiązania i odpowiedzi
Zadanie 4, strona 10, Spotkania z fizyką. Klasa 7. Zeszyt ćwiczeń - rozwiązania i odpowiedzi
Zadanie 61.18., strona 239, Zbiór zadań z fizyki dla szkoły podstawowej. Klasa 7-8 - rozwiązania i odpowiedzi
Zadanie 9, strona 20, Fizyka. Klasa 7. Podręcznik - rozwiązania i odpowiedzi
Ćwiczenie 11.51., strona 168, Fizyka. Klasa 1-3. Zakres podstawowy. Zbiór zadań - rozwiązania i odpowiedzi
Ćwiczenie 21., strona 12, Świat fizyki. Klasa 7. Zeszyt ćwiczeń - rozwiązania i odpowiedzi
Zadanie 1., strona 232, Fizyka. Klasa 7-8. Zbiór zadań - rozwiązania i odpowiedzi
Zadanie 3., strona 123, Fizyka. Klasa 2. Podręcznik. Zakres podstawowy - rozwiązania i odpowiedzi
Zadanie 1., strona 131, Fizyka. Klasa 7-8. Zbiór zadań - rozwiązania i odpowiedzi
Ćwiczenie 32.23, strona 154, Fizyka. Klasa 3. Zakres rozszerzony. Zbiór zadań - rozwiązania i odpowiedzi
REKLAMA
Skul
Zadania z tego działu
Drgania i fale mechaniczne
26
Ruch drgający
26

Ćwiczenie 1.

26

Ćwiczenie 2.

26

Ćwiczenie 3.

26

Ćwiczenie 4.

27

Ćwiczenie 5.

27

Ćwiczenie 6.

27

Ćwiczenie 7.

28

Ćwiczenie 8.

28

Ćwiczenie 9.

29

Ćwiczenie 10.

29
Wahadło matematyczne
30

Ćwiczenie 1.

30

Ćwiczenie 2

30

Podpunkt a)

30

Podpunkt b)

30

Podpunkt c)

30

Podpunkt d)

30

Podpunkt e)

30

Ćwiczenie 3.

31

Ćwiczenie 4.

31

Podpunkt a)

31

Podpunkt b)

31

Podpunkt c)

31

Podpunkt d)

31

Podpunkt e)

31

Podpunkt f)

31

Ćwiczenie 5.

32

Podpunkt a)

32

Podpunkt b)

32

Ćwiczenie 6.

33

Ćwiczenie 7.

33
Fale mechaniczne
34

Ćwiczenie 1

34

Podpunkt a)

34

Podpunkt b)

34

Ćwiczenie 2.

34

Ćwiczenie 3.

34

Ćwiczenie 4.

35

Ćwiczenie 5.

35

Ćwiczenie 6.

35

Ćwiczenie 7.

35

Ćwiczenie 8.

36

Podpunkt a)

36

Podpunkt b)

36

Ćwiczenie 9.

36
Dźwięki
37

Ćwiczenie 1.

37

Podpunkt a)

37

Podpunkt b)

37

Ćwiczenie 2.

37

Ćwiczenie 3.

37

Ćwiczenie 4.

38

Ćwiczenie 5.

38

Ćwiczenie 6.

38

Podpunkt a)

38

Podpunkt b)

38

Ćwiczenie 7.

39

Ćwiczenie 8.

39
Podsumowanie działu 2
40

Ćwiczenie 1.

40

Ćwiczenie 2.

40

Ćwiczenie 3.

40

Ćwiczenie 4.

40

Ćwiczenie 5.

41

Ćwiczenie 6.

41

Ćwiczenie 7.

41

Ćwiczenie 8.

41

Ćwiczenie 9.

41

Ćwiczenie 10.

41
Pełny spis treści
Skul
Artboard 1
Skul.pl
  • Napisz do nas
  • FAQ
  • Mapa Serwisu
  • Google Play
  • App Store

Korzystanie z portalu oznacza akceptację Regulaminu.
Polityka prywatności. Ustawienia preferencji. Copyright: INTERIA.PL 1999-2023 Wszystkie prawa zastrzeżone.