Okres:
Długość fali to odległość między dwoma grzbietami:
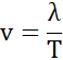
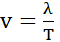
Prędkość fali:
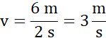
Wykorzystaj wzory na prędkość fali i na częstotliwość:
gdzie v – prędkość fali
λ – długość fali [m]
T – okres fali [s].
Zauważ, że okres to czas, w którym butelka przebędzie jedną długość fali, czyli odległość między dwoma sąsiednimi grzbietami. Odległość między grzbietem i doliną to dokładnie pół długości fali.