W tym zadaniu oblicz zmianę gęstości azotu o masie molowej
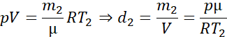
Zapisujemy równanie Clapeyrona dla stanu początkowego i końcowego, a liczbę moli gazu przedstawiamy jako iloraz masy i masy molowej gazu:
Obliczamy różnicę gęstości początkowej i końcowej:
Podstawiając wartości liczbowe:
Odpowiedź: Gęstość gazu spadła o około
Zapisujemy liczbę moli jako iloraz masy gazu i masy molowej. Korzystając z równania Clapeyrona wyznaczamy gęstość, czyli z definicji iloraz masy przez objętość w stanie początkowym i końcowym. Obliczamy różnicę gęstości.
Przykład Przykład 1.
75Przykład Przykład 2.
76Przykład Przykład 3.
79Przykład Przykład 4.
81Przykład Przykład 5.
83Przykład Przykład 6.
84Zadanie 8.1.3.
86Zadanie 8.1.4.
87Zadanie 8.1.5.
87Zadanie 8.1.6.
87Zadanie 8.1.8.
88Zadanie 8.1.9.
89Zadanie 8.1.10.
89Zadanie 8.1.15.
90Zadanie 8.1.21.
91Zadanie 8.1.24.
91Zadanie 8.1.25.
92Zadanie 8.1.28.
92Zadanie 8.1.30.
93Zadanie 8.1.33.
93Przykład Przykład 1.
94Przykład Przykład 2.
95Przykład Przykład 3.
97Zadanie 8.2.5.
99Zadanie 8.2.8.
100Zadanie 8.2.11.
100Zadanie 8.2.13.
100Zadanie 8.2.14.
101Zadanie 8.2.15.
101Przykład Przykład 3.
103Przykład Przykład 4.
106Zadanie 8.3.7.
108Zadanie 8.3.9.
109Zadanie 8.3.10.
109Zadanie 8.3.11.
109Przykład Przykład
110Zadanie 8.4.2.
112Przykład Przykład. Balon
116Zadanie Zadanie 1. Cykl przemian
118Zadanie Zadanie 2. Silnik spalinowy
118Zadanie Zadanie 3. Cząsteczki gazu
119