W tym zadaniu oblicz pracę wykonaną przez gaz podczas przejścia ze stanu C do B na drogach: CDB, CB, CAB przedstawionych na wykresie.
Praca wykonana przez gaz jest równa polu figury pod wykresem funkcji p(V).
– Praca na drodze CDB:
gdzie
Odczytujemy dane z wykresu i podstawiamy do wzoru:
– Praca na drodze CAB:
gdzie
Odczytujemy dane z wykresu i podstawiamy do wzoru:
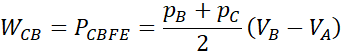
– Praca na drodze AB jest polem trapezu CBFE, czyli:
Odczytujemy dane z wykresu i podstawiamy do wzoru:
Odpowiedź: Prace wykonane przez gaz wynoszą odpowiednio:
Praca wykonana przez gaz jest równa polu powierzchni pod wykresem p(V) dla odpowiedniej ścieżki.
Przykład Przykład 1.
75Przykład Przykład 2.
76Przykład Przykład 3.
79Przykład Przykład 4.
81Przykład Przykład 5.
83Przykład Przykład 6.
84Zadanie 8.1.3.
86Zadanie 8.1.4.
87Zadanie 8.1.5.
87Zadanie 8.1.6.
87Zadanie 8.1.8.
88Zadanie 8.1.9.
89Zadanie 8.1.10.
89Zadanie 8.1.15.
90Zadanie 8.1.21.
91Zadanie 8.1.24.
91Zadanie 8.1.25.
92Zadanie 8.1.28.
92Zadanie 8.1.30.
93Zadanie 8.1.33.
93Przykład Przykład 1.
94Przykład Przykład 2.
95Przykład Przykład 3.
97Zadanie 8.2.5.
99Zadanie 8.2.8.
100Zadanie 8.2.11.
100Zadanie 8.2.13.
100Zadanie 8.2.14.
101Zadanie 8.2.15.
101Przykład Przykład 3.
103Przykład Przykład 4.
106Zadanie 8.3.7.
108Zadanie 8.3.9.
109Zadanie 8.3.10.
109Zadanie 8.3.11.
109Przykład Przykład
110Zadanie 8.4.2.
112Przykład Przykład. Balon
116Zadanie Zadanie 1. Cykl przemian
118Zadanie Zadanie 2. Silnik spalinowy
118Zadanie Zadanie 3. Cząsteczki gazu
119