W tym zadaniu oblicz wzrost ciśnienia w oponie o objętości V = 63 dm3 po ogrzaniu do temperatury T1 = 120oC, jeśli początkowo panuje w niej ciśnienie po = 241,3 kPa i temperatura T = 17oC. Stała gazowa
Piszemy równanie gazu doskonałego dla gazu w oponie w temperaturach T i T1:
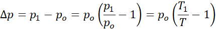
Korzystamy z tego, że liczba moli i objętość są stałe, dzielimy stronami powyższe równania i otrzymujemy:
Obliczamy różnicę ciśnień. Pamiętamy, że nie znamy wartości ciśnienia p1, czyli przed nawias wyciągniemy znane ciśnienie po:
Podstawiamy dane liczbowe i otrzymujemy:
Odpowiedź: Ciśnienie w oponie wzrosło o ok. 85,7 kPa.
Korzystamy z równania Clapeyrona dla sytuacji początkowej i końcowej, a następnie dzielimy otrzymane równania stronami. Przeliczamy stopnie Celsjusza na kelwiny.
Przykład Przykład 1.
75Przykład Przykład 2.
76Przykład Przykład 3.
79Przykład Przykład 4.
81Przykład Przykład 5.
83Przykład Przykład 6.
84Zadanie 8.1.3.
86Zadanie 8.1.4.
87Zadanie 8.1.5.
87Zadanie 8.1.6.
87Zadanie 8.1.8.
88Zadanie 8.1.9.
89Zadanie 8.1.10.
89Zadanie 8.1.15.
90Zadanie 8.1.21.
91Zadanie 8.1.24.
91Zadanie 8.1.25.
92Zadanie 8.1.28.
92Zadanie 8.1.30.
93Zadanie 8.1.33.
93Przykład Przykład 1.
94Przykład Przykład 2.
95Przykład Przykład 3.
97Zadanie 8.2.5.
99Zadanie 8.2.8.
100Zadanie 8.2.11.
100Zadanie 8.2.13.
100Zadanie 8.2.14.
101Zadanie 8.2.15.
101Przykład Przykład 3.
103Przykład Przykład 4.
106Zadanie 8.3.7.
108Zadanie 8.3.9.
109Zadanie 8.3.10.
109Zadanie 8.3.11.
109Przykład Przykład
110Zadanie 8.4.2.
112Przykład Przykład. Balon
116Zadanie Zadanie 1. Cykl przemian
118Zadanie Zadanie 2. Silnik spalinowy
118Zadanie Zadanie 3. Cząsteczki gazu
119