W tym zadaniu oblicz objętość wodoru w balonie na wysokości h, jeśli panuje tam ciśnienie p2 = 300 hPa i temperatura T2 = -45oC, a podczas startu balon miał objętość V1 = 250 m3 przy ciśnieniu atmosferycznym p1 = 1013 hPa i w temperaturze otoczenia T1 = 17oC.
Zakładamy, że liczba moli wodoru w balonie jest stała, czyli możemy ją wyznaczyć w chwili startu oraz na wysokości h i przyrównać.
Piszemy więc równanie Clapeyrona dla obu tych przypadków i wyznaczamy dla każdego z nich liczbę moli:
– przy powierzchni ziemi:
– dla granicznego ciśnienia:
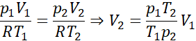
Przyrównujemy oba równania na liczbę moli i wyznaczamy szukaną objętość wodoru na wysokości h:
Podstawiamy dane liczbowe (przeliczamy temperaturę na kelwiny) i otrzymujemy objętość:
Odpowiedź: Objętość wodoru na wysokości h wynosi około 664 m3.
Liczba moli wodoru w balonie jest stała, więc obliczamy ją dla stanu początkowego i końcowego, a następnie przez przyrównanie otrzymanych wzorów wyznaczam objętość wodoru w stanie końcowym.
Przykład Przykład 1.
75Przykład Przykład 2.
76Przykład Przykład 3.
79Przykład Przykład 4.
81Przykład Przykład 5.
83Przykład Przykład 6.
84Zadanie 8.1.3.
86Zadanie 8.1.4.
87Zadanie 8.1.5.
87Zadanie 8.1.6.
87Zadanie 8.1.8.
88Zadanie 8.1.9.
89Zadanie 8.1.10.
89Zadanie 8.1.15.
90Zadanie 8.1.21.
91Zadanie 8.1.24.
91Zadanie 8.1.25.
92Zadanie 8.1.28.
92Zadanie 8.1.30.
93Zadanie 8.1.33.
93Przykład Przykład 1.
94Przykład Przykład 2.
95Przykład Przykład 3.
97Zadanie 8.2.5.
99Zadanie 8.2.8.
100Zadanie 8.2.11.
100Zadanie 8.2.13.
100Zadanie 8.2.14.
101Zadanie 8.2.15.
101Przykład Przykład 3.
103Przykład Przykład 4.
106Zadanie 8.3.7.
108Zadanie 8.3.9.
109Zadanie 8.3.10.
109Zadanie 8.3.11.
109Przykład Przykład
110Zadanie 8.4.2.
112Przykład Przykład. Balon
116Zadanie Zadanie 1. Cykl przemian
118Zadanie Zadanie 2. Silnik spalinowy
118Zadanie Zadanie 3. Cząsteczki gazu
119