W tym zadaniu oblicz masę tlenu O2 o temperaturze T2 = 100oC znajdującego się w butli o pojemności V = 2 l, jaka musi opuścić butlę, by gaz osiągnął ciśnienie graniczne pg = 18 MPa, jeśli w zbiorniku początkowo znajduje się m1 = 0,385 kg. Stała gazowa
Ilość gazu, jaka wydostała się ze zbiornika, obliczymy, odejmując od siebie masę tlenu w zbiorniku zamkniętym i masę tlenu, który został w zbiorniku w temperaturze T2.
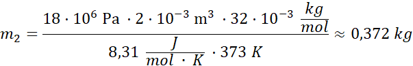
Masę tlenu w zbiorniku zamkniętym obliczyliśmy w punkcie a) – wynosi ona m1 = 0,385 kg. Natomiast drugą masę musimy policzyć. Skorzystamy z tego samego wzoru, z którego obliczyliśmy masę tlenu w zamkniętej butli:
Masa molowa tlenu i objętość butli się nie zmieniły. Znamy temperaturę T2 = 373 K oraz wiemy, że ciśnienie w butli to ciśnienie graniczne p2 = pg = 18 MPa (ciśnienie bezpieczne).
Podstawiamy dane i otrzymujemy:
Teraz możemy obliczyć ilość gazu, jaka opuściła butlę:
Odpowiedź: Ilość tlenu w butli zmniejszyła się o 13,4 g
Korzystamy z równania Clapeyrona i wyznaczamy masę tlenu w sytuacji, gdy temperatura jest równa T2 i panuje ciśnienie graniczne. Ilość tlenu, jaka wydostała się z butli to różnica początkowej masy gazu i obliczonej masy dla drugiej sytuacji.
Przykład Przykład 1.
75Przykład Przykład 2.
76Przykład Przykład 3.
79Przykład Przykład 4.
81Przykład Przykład 5.
83Przykład Przykład 6.
84Zadanie 8.1.3.
86Zadanie 8.1.4.
87Zadanie 8.1.5.
87Zadanie 8.1.6.
87Zadanie 8.1.8.
88Zadanie 8.1.9.
89Zadanie 8.1.10.
89Zadanie 8.1.15.
90Zadanie 8.1.21.
91Zadanie 8.1.24.
91Zadanie 8.1.25.
92Zadanie 8.1.28.
92Zadanie 8.1.30.
93Zadanie 8.1.33.
93Przykład Przykład 1.
94Przykład Przykład 2.
95Przykład Przykład 3.
97Zadanie 8.2.5.
99Zadanie 8.2.8.
100Zadanie 8.2.11.
100Zadanie 8.2.13.
100Zadanie 8.2.14.
101Zadanie 8.2.15.
101Przykład Przykład 3.
103Przykład Przykład 4.
106Zadanie 8.3.7.
108Zadanie 8.3.9.
109Zadanie 8.3.10.
109Zadanie 8.3.11.
109Przykład Przykład
110Zadanie 8.4.2.
112Przykład Przykład. Balon
116Zadanie Zadanie 1. Cykl przemian
118Zadanie Zadanie 2. Silnik spalinowy
118Zadanie Zadanie 3. Cząsteczki gazu
119