W tym zadaniu oblicz prędkość człowieka o masie m = 60 kg, jeśli jego energia kinetyczna jest równa energii wewnętrznej gazu jednoatomowego o objętości V = 5 dm3 i ciśnieniu p = 1000 hPa.
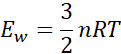
Energia wewnętrzna jednoatomowego gazu doskonałego jest równa:
Gdzie z równania Clapeyrona:
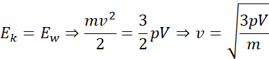
Energia kinetyczna człowieka i wewnętrzna gazu jest równa:
Podstawiając wartości liczbowe:
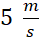
Odpowiedź: Człowiek powinien poruszać się z prędkością
Korzystamy ze wzoru na energię wewnętrzną jednoatomowego gazu doskonałego, gdzie z równania Clapeyrona w miejsce iloczynu liczby moli, stałej gazowej i temperatury wstawiamy iloczyn ciśnienia i objętości gazu. Z równości energii kinetycznej człowieka i wewnętrznej gazu wyznaczamy prędkość człowieka.
Przykład Przykład 1.
75Przykład Przykład 2.
76Przykład Przykład 3.
79Przykład Przykład 4.
81Przykład Przykład 5.
83Przykład Przykład 6.
84Zadanie 8.1.3.
86Zadanie 8.1.4.
87Zadanie 8.1.5.
87Zadanie 8.1.6.
87Zadanie 8.1.8.
88Zadanie 8.1.9.
89Zadanie 8.1.10.
89Zadanie 8.1.15.
90Zadanie 8.1.21.
91Zadanie 8.1.24.
91Zadanie 8.1.25.
92Zadanie 8.1.28.
92Zadanie 8.1.30.
93Zadanie 8.1.33.
93Przykład Przykład 1.
94Przykład Przykład 2.
95Przykład Przykład 3.
97Zadanie 8.2.5.
99Zadanie 8.2.8.
100Zadanie 8.2.11.
100Zadanie 8.2.13.
100Zadanie 8.2.14.
101Zadanie 8.2.15.
101Przykład Przykład 3.
103Przykład Przykład 4.
106Zadanie 8.3.7.
108Zadanie 8.3.9.
109Zadanie 8.3.10.
109Zadanie 8.3.11.
109Przykład Przykład
110Zadanie 8.4.2.
112Przykład Przykład. Balon
116Zadanie Zadanie 1. Cykl przemian
118Zadanie Zadanie 2. Silnik spalinowy
118Zadanie Zadanie 3. Cząsteczki gazu
119