W tym zadaniu oblicz pracę wykonaną przez gaz doskonały jednoatomowy przy przejściu ze stanu A do D na drogach: ABD (zielona), ACD (niebieska) i AD (czerwona).
Praca wykonana przez gaz jest równa polu figury pod wykresem funkcji p(V).
– Praca na drodze ABD:
gdzie
Odczytujemy dane z wykresu i podstawiamy do wzoru:
– Praca na drodze ACD:
gdzie
Odczytujemy dane z wykresu i podstawiamy do wzoru:
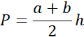
– Praca na drodze AD jest polem trapezu ADFE, czyli:
Skorzystaliśmy ze wzoru na pole trapezu postaci:
gdzie a, b to długości podstaw trapezu
Odczytujemy dane z wykresu i podstawiamy do wzoru:
Odpowiedź: Prace wykonane przez gaz wynoszą odpowiednio:
Praca wykonana przez gaz jest równa polu powierzchni pod wykresem p(V) dla odpowiedniej ścieżki.
Przykład Przykład 1.
75Przykład Przykład 2.
76Przykład Przykład 3.
79Przykład Przykład 4.
81Przykład Przykład 5.
83Przykład Przykład 6.
84Zadanie 8.1.3.
86Zadanie 8.1.4.
87Zadanie 8.1.5.
87Zadanie 8.1.6.
87Zadanie 8.1.8.
88Zadanie 8.1.9.
89Zadanie 8.1.10.
89Zadanie 8.1.15.
90Zadanie 8.1.21.
91Zadanie 8.1.24.
91Zadanie 8.1.25.
92Zadanie 8.1.28.
92Zadanie 8.1.30.
93Zadanie 8.1.33.
93Przykład Przykład 1.
94Przykład Przykład 2.
95Przykład Przykład 3.
97Zadanie 8.2.5.
99Zadanie 8.2.8.
100Zadanie 8.2.11.
100Zadanie 8.2.13.
100Zadanie 8.2.14.
101Zadanie 8.2.15.
101Przykład Przykład 3.
103Przykład Przykład 4.
106Zadanie 8.3.7.
108Zadanie 8.3.9.
109Zadanie 8.3.10.
109Zadanie 8.3.11.
109Przykład Przykład
110Zadanie 8.4.2.
112Przykład Przykład. Balon
116Zadanie Zadanie 1. Cykl przemian
118Zadanie Zadanie 2. Silnik spalinowy
118Zadanie Zadanie 3. Cząsteczki gazu
119