W tym zadaniu oblicz liczbę ciężarków o masie M = 10 kg każdy, które należy umieścić na tłoku o powierzchni S = 50 cm2, aby wewnątrz panowało ciśnienie p = 2583 hPa. Przyjmij ciśnienie atmosferyczne pat = 1013 hPa i pomiń masę tłoka.
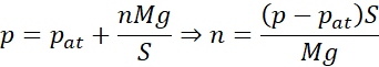
Ciśnienie wewnątrz cylindra jest sumą ciśnienia atmosferycznego i ciśnienia wywieranego przez tłok:
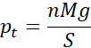
Gdzie ciśnienie tłoka jest ilorazem siły ciężkości n ciężarków i powierzchni tłoka:
Więc liczba ciężarków jest równa:
Podstawiając dane liczbowe:
Odpowiedź: Na tłoku należy umieścić 8 ciężarków.
Ciśnienie wewnątrz cylindra jest sumą ciśnienia atmosferycznego i ciśnienia wywieranego przez tłok, które obliczamy z definicji ciśnienia. Siłą działającą na tłok jest siłą ciężkości ciężarka pomnożona razy liczbę ciężarków.
Przykład Przykład 1.
75Przykład Przykład 2.
76Przykład Przykład 3.
79Przykład Przykład 4.
81Przykład Przykład 5.
83Przykład Przykład 6.
84Zadanie 8.1.3.
86Zadanie 8.1.4.
87Zadanie 8.1.5.
87Zadanie 8.1.6.
87Zadanie 8.1.8.
88Zadanie 8.1.9.
89Zadanie 8.1.10.
89Zadanie 8.1.15.
90Zadanie 8.1.21.
91Zadanie 8.1.24.
91Zadanie 8.1.25.
92Zadanie 8.1.28.
92Zadanie 8.1.30.
93Zadanie 8.1.33.
93Przykład Przykład 1.
94Przykład Przykład 2.
95Przykład Przykład 3.
97Zadanie 8.2.5.
99Zadanie 8.2.8.
100Zadanie 8.2.11.
100Zadanie 8.2.13.
100Zadanie 8.2.14.
101Zadanie 8.2.15.
101Przykład Przykład 3.
103Przykład Przykład 4.
106Zadanie 8.3.7.
108Zadanie 8.3.9.
109Zadanie 8.3.10.
109Zadanie 8.3.11.
109Przykład Przykład
110Zadanie 8.4.2.
112Przykład Przykład. Balon
116Zadanie Zadanie 1. Cykl przemian
118Zadanie Zadanie 2. Silnik spalinowy
118Zadanie Zadanie 3. Cząsteczki gazu
119