W tym zadaniu oblicz ciśnienie powietrze zamkniętego słupem rtęci o wysokości h = 10 cm, w trzech położeniach: pionowym z otworem do góry, poziomym oraz pionowym z otworem do dołu. Przyjmij ciśnienie atmosferyczne pat = 1013 hPa, gęstość rtęci
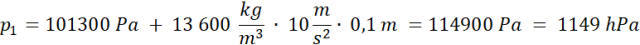
W położeniu pionowym z otworem do góry słup rtęci dociska powietrze:
W położeniu poziomym ciśnienie powietrza jest równe ciśnieniu atmosferycznemu:
W położeniu pionowym z otworem do dołu ciśnienie atmosferyczne równoważy ciśnienie powietrza oraz słupa rtęci:
Podstawiając wartości liczbowe:
Odpowiedź: W pierwszym położeniu powietrze ma ciśnienie 1149 hPa, w drugim 1013 hPa, a w trzecim 877 hPa.
W pierwszym przypadku siła ciężkości słupa rtęci, od której pochodzi jej ciśnienie hydrostatyczne, jest zwrócona do wewnątrz rurki, więc ciśnienie powietrza jest sumą ciśnienia atmosferycznego i hydrostatycznego słupa rtęci. W drugim przypadku siła ciężkości słupa rtęci jest zwrócona w stronę ścianki rurki i nie wpływa na powietrze w rurce, więc ciśnienie powietrza jest równe ciśnieniu atmosferycznemu. W trzecim przypadku siła ciężkości słupa rtęci jest zwrócona na zewnątrz rurki, więc ciśnienie powietrza jest różnicą ciśnienia atmosferycznego i hydrostatycznego słupa rtęci.
Przykład Przykład 1.
75Przykład Przykład 2.
76Przykład Przykład 3.
79Przykład Przykład 4.
81Przykład Przykład 5.
83Przykład Przykład 6.
84Zadanie 8.1.3.
86Zadanie 8.1.4.
87Zadanie 8.1.5.
87Zadanie 8.1.6.
87Zadanie 8.1.8.
88Zadanie 8.1.9.
89Zadanie 8.1.10.
89Zadanie 8.1.15.
90Zadanie 8.1.21.
91Zadanie 8.1.24.
91Zadanie 8.1.25.
92Zadanie 8.1.28.
92Zadanie 8.1.30.
93Zadanie 8.1.33.
93Przykład Przykład 1.
94Przykład Przykład 2.
95Przykład Przykład 3.
97Zadanie 8.2.5.
99Zadanie 8.2.8.
100Zadanie 8.2.11.
100Zadanie 8.2.13.
100Zadanie 8.2.14.
101Zadanie 8.2.15.
101Przykład Przykład 3.
103Przykład Przykład 4.
106Zadanie 8.3.7.
108Zadanie 8.3.9.
109Zadanie 8.3.10.
109Zadanie 8.3.11.
109Przykład Przykład
110Zadanie 8.4.2.
112Przykład Przykład. Balon
116Zadanie Zadanie 1. Cykl przemian
118Zadanie Zadanie 2. Silnik spalinowy
118Zadanie Zadanie 3. Cząsteczki gazu
119