W tym zadaniu oblicz temperaturę i ciśnienie V = 10 dm3 dwuatomowego gazu doskonałego o początkowej temperaturze T1 = 27oC i pod ciśnieniem
Z równania Clapeyrona wyznaczamy liczbę moli gazu:
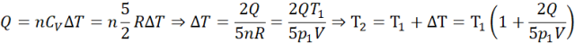
Ze wzoru na ciepło molowe:
Podstawiając wartości liczbowe:
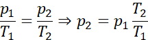
Z własności przemiany izochorycznej:
Podstawiając wartości liczbowe:
Odpowiedź: Gaz ma ciśnienie około
Z równania Clapeyrona wyznaczamy liczbę moli gazu, a następnie korzystamy ze wzoru na ciepło molowe gazu dwuatomowego przy stałej objętości. Korzystamy z własności przemiany izochorycznej – iloraz ciśnienia i temperatury jest stały.
Przykład Przykład 1.
75Przykład Przykład 2.
76Przykład Przykład 3.
79Przykład Przykład 4.
81Przykład Przykład 5.
83Przykład Przykład 6.
84Zadanie 8.1.3.
86Zadanie 8.1.4.
87Zadanie 8.1.5.
87Zadanie 8.1.6.
87Zadanie 8.1.8.
88Zadanie 8.1.9.
89Zadanie 8.1.10.
89Zadanie 8.1.15.
90Zadanie 8.1.21.
91Zadanie 8.1.24.
91Zadanie 8.1.25.
92Zadanie 8.1.28.
92Zadanie 8.1.30.
93Zadanie 8.1.33.
93Przykład Przykład 1.
94Przykład Przykład 2.
95Przykład Przykład 3.
97Zadanie 8.2.5.
99Zadanie 8.2.8.
100Zadanie 8.2.11.
100Zadanie 8.2.13.
100Zadanie 8.2.14.
101Zadanie 8.2.15.
101Przykład Przykład 3.
103Przykład Przykład 4.
106Zadanie 8.3.7.
108Zadanie 8.3.9.
109Zadanie 8.3.10.
109Zadanie 8.3.11.
109Przykład Przykład
110Zadanie 8.4.2.
112Przykład Przykład. Balon
116Zadanie Zadanie 1. Cykl przemian
118Zadanie Zadanie 2. Silnik spalinowy
118Zadanie Zadanie 3. Cząsteczki gazu
119