W tym zadaniu oblicz pracę użyteczną podczas jednego cyklu termodynamicznego, który składa się z dwóch przemian izobarycznych i dwóch izochorycznych takich, że temperatura gazu w punkcie (1) wynosiła T1 = 200 K, w punkcie (3) T3 = 450 K, a temperatury w punkcie (2) i (4) były jednakowe. Liczba moli gazu doskonałego to n = 2 mole. Przyjmij stałą gazową
Praca użyteczna Wc cyklu termodynamicznego jest równa polu figury wewnątrz cyklu w układzie współrzędnych (V, p):
Przekształcamy to równanie do postaci:
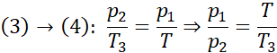
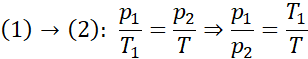
Z równania Clapeyrona możemy ułożyć zależności dla poszczególnych stanów termodynamicznych, od (1) do (4):
Powyższe równania wykorzystujemy do wyznaczenia brakujących wartości ciśnienia we wzorze na pracę. Odejmujemy stronami równanie (4) od równania (1) i wyznaczamy p1:
Odejmujemy stronami równanie (3) od równania (2) i wyznaczamy p2:
Po podstawieniu powyższych wyrażeń na ciśnienia do równania na pracę (objętości się skracają) otrzymujemy:
Widzimy, że aby wyznaczyć pracę, musimy znać temperaturę gazu T. Wiemy, że w stanach (2) i (4) temperatura jest taka sama. Układamy równania dla przemian izochorycznych:
Porównujemy wzory i wyznaczamy temperaturę T:
Po podstawieniu danych otrzymujemy: T = 300 K.
Mamy już wszystkie potrzebne dane. Po ich podstawieniu do wzoru na pracę użyteczną otrzymujemy:
Odpowiedź: Praca wykonana przez gaz (użyteczna) podczas jednego cyklu wynosi 831 J.
Praca użyteczna cyklu termodynamicznego jest równa polu figury wewnątrz cyklu w układzie współrzędnych (V, p). Zapisujemy równania Clapeyrona dla poszczególnych stanów i wyznaczamy ciśnienia w kolejnych stanach. Korzystając z własności przemiany izochorycznej, wyznaczamy temperaturę w stanie (2) i (4).
Przykład Przykład 1.
75Przykład Przykład 2.
76Przykład Przykład 3.
79Przykład Przykład 4.
81Przykład Przykład 5.
83Przykład Przykład 6.
84Zadanie 8.1.3.
86Zadanie 8.1.4.
87Zadanie 8.1.5.
87Zadanie 8.1.6.
87Zadanie 8.1.8.
88Zadanie 8.1.9.
89Zadanie 8.1.10.
89Zadanie 8.1.15.
90Zadanie 8.1.21.
91Zadanie 8.1.24.
91Zadanie 8.1.25.
92Zadanie 8.1.28.
92Zadanie 8.1.30.
93Zadanie 8.1.33.
93Przykład Przykład 1.
94Przykład Przykład 2.
95Przykład Przykład 3.
97Zadanie 8.2.5.
99Zadanie 8.2.8.
100Zadanie 8.2.11.
100Zadanie 8.2.13.
100Zadanie 8.2.14.
101Zadanie 8.2.15.
101Przykład Przykład 3.
103Przykład Przykład 4.
106Zadanie 8.3.7.
108Zadanie 8.3.9.
109Zadanie 8.3.10.
109Zadanie 8.3.11.
109Przykład Przykład
110Zadanie 8.4.2.
112Przykład Przykład. Balon
116Zadanie Zadanie 1. Cykl przemian
118Zadanie Zadanie 2. Silnik spalinowy
118Zadanie Zadanie 3. Cząsteczki gazu
119