W tym zadaniu oblicz objętość gazu po pierwszej i drugiej przemianie oraz jego ciśnienie końcowe p4, jeśli początkowo gaz miał temperaturę T1 = 227oC, ciśnienie p1 = 200 hPa i objętość V1 = 2 dm3. Najpierw gaz został sprężony izotermicznie tak, że jego ciśnienie wzrosło dwukrotnie, następnie oziębiony izobarycznie do temperatury T3 = -23oC, a potem rozprężony izotermicznie do objętości końcowej V4 = 1 dm3.
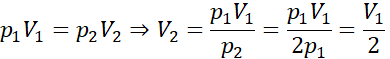
Pierwsza przemiana jest izotermiczna, więc iloraz
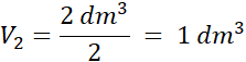
Podstawiając dane liczbowe:
Druga przemiana jest izobaryczna, więc iloraz
Podstawiając dane liczbowe:
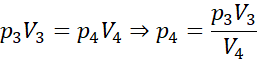
Trzecia przemiana jest izotermiczna, więc iloraz
Podstawiając dane liczbowe:
Odpowiedź: Objętość gazu po pierwszej przemianie to 1 dm3, po drugiej objętość wynosi 0,5 dm3, a końcowe ciśnienie to 200 hPa.
W przemianie izobarycznej iloraz
Przykład Przykład 1.
75Przykład Przykład 2.
76Przykład Przykład 3.
79Przykład Przykład 4.
81Przykład Przykład 5.
83Przykład Przykład 6.
84Zadanie 8.1.3.
86Zadanie 8.1.4.
87Zadanie 8.1.5.
87Zadanie 8.1.6.
87Zadanie 8.1.8.
88Zadanie 8.1.9.
89Zadanie 8.1.10.
89Zadanie 8.1.15.
90Zadanie 8.1.21.
91Zadanie 8.1.24.
91Zadanie 8.1.25.
92Zadanie 8.1.28.
92Zadanie 8.1.30.
93Zadanie 8.1.33.
93Przykład Przykład 1.
94Przykład Przykład 2.
95Przykład Przykład 3.
97Zadanie 8.2.5.
99Zadanie 8.2.8.
100Zadanie 8.2.11.
100Zadanie 8.2.13.
100Zadanie 8.2.14.
101Zadanie 8.2.15.
101Przykład Przykład 3.
103Przykład Przykład 4.
106Zadanie 8.3.7.
108Zadanie 8.3.9.
109Zadanie 8.3.10.
109Zadanie 8.3.11.
109Przykład Przykład
110Zadanie 8.4.2.
112Przykład Przykład. Balon
116Zadanie Zadanie 1. Cykl przemian
118Zadanie Zadanie 2. Silnik spalinowy
118Zadanie Zadanie 3. Cząsteczki gazu
119