W tym zadaniu korzystając z wykresu oblicz sprawność uzyskaną w cyklu przemian 2 moli gazu jednoatomowego. Temperatury w stanach (1), (2), (3) i (4) wynoszą odpowiednio:
Ze wzoru na sprawność:
Gaz oddaje ciepło w przemianach
Podstawiając wartości liczbowe:
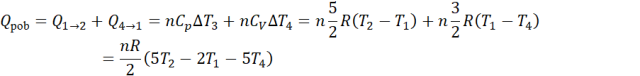
Gaz pobiera ciepło w przemianach
Podstawiając wartości liczbowe:
Więc sprawność jest równa:
Odpowiedź: W cyklu uzyskano sprawność około 22,2%.
Gaz oddaje ciepło w przemianach, w których spada jego temperatura, czyli w przemianach
Przykład Przykład 1.
75Przykład Przykład 2.
76Przykład Przykład 3.
79Przykład Przykład 4.
81Przykład Przykład 5.
83Przykład Przykład 6.
84Zadanie 8.1.3.
86Zadanie 8.1.4.
87Zadanie 8.1.5.
87Zadanie 8.1.6.
87Zadanie 8.1.8.
88Zadanie 8.1.9.
89Zadanie 8.1.10.
89Zadanie 8.1.15.
90Zadanie 8.1.21.
91Zadanie 8.1.24.
91Zadanie 8.1.25.
92Zadanie 8.1.28.
92Zadanie 8.1.30.
93Zadanie 8.1.33.
93Przykład Przykład 1.
94Przykład Przykład 2.
95Przykład Przykład 3.
97Zadanie 8.2.5.
99Zadanie 8.2.8.
100Zadanie 8.2.11.
100Zadanie 8.2.13.
100Zadanie 8.2.14.
101Zadanie 8.2.15.
101Przykład Przykład 3.
103Przykład Przykład 4.
106Zadanie 8.3.7.
108Zadanie 8.3.9.
109Zadanie 8.3.10.
109Zadanie 8.3.11.
109Przykład Przykład
110Zadanie 8.4.2.
112Przykład Przykład. Balon
116Zadanie Zadanie 1. Cykl przemian
118Zadanie Zadanie 2. Silnik spalinowy
118Zadanie Zadanie 3. Cząsteczki gazu
119