W tym zadaniu oblicz końcowe ciśnienie p3 gazu, który początkowo miał parametry: objętość V0 = 5 l, temperaturę T0 = 300 K i ciśnienie p0 = 100 kPa. Najpierw gaz poddano izotermicznemu sprężaniu do objętości V1 i ciśnienia p1, następnie izobarycznie ochłodzono do temperatury T2 = 150 K, a na koniec izotermicznie zmniejszono jego objętość do V3 = 2,5 l.
Pierwsza przemiana jest izotermiczna, więc:
Druga przemiana jest izobaryczna, więc:
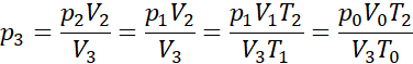
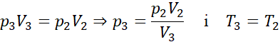
Trzecia przemiana jest izotermiczna, więc:
Stąd:
Podstawiając wartości liczbowe:
Odpowiedź: Końcowo gaz miał ciśnienie 100 kPa.
Korzystamy z własności przemiany izotermicznej – iloczyn ciśnienia i objętości jest stały oraz z własności przemiany izobarycznej – iloraz objętości i temperatury jest stały. Na podstawie otrzymanych zależności wyznaczamy ciśnienie końcowe.
Przykład Przykład 1.
75Przykład Przykład 2.
76Przykład Przykład 3.
79Przykład Przykład 4.
81Przykład Przykład 5.
83Przykład Przykład 6.
84Zadanie 8.1.3.
86Zadanie 8.1.4.
87Zadanie 8.1.5.
87Zadanie 8.1.6.
87Zadanie 8.1.8.
88Zadanie 8.1.9.
89Zadanie 8.1.10.
89Zadanie 8.1.15.
90Zadanie 8.1.21.
91Zadanie 8.1.24.
91Zadanie 8.1.25.
92Zadanie 8.1.28.
92Zadanie 8.1.30.
93Zadanie 8.1.33.
93Przykład Przykład 1.
94Przykład Przykład 2.
95Przykład Przykład 3.
97Zadanie 8.2.5.
99Zadanie 8.2.8.
100Zadanie 8.2.11.
100Zadanie 8.2.13.
100Zadanie 8.2.14.
101Zadanie 8.2.15.
101Przykład Przykład 3.
103Przykład Przykład 4.
106Zadanie 8.3.7.
108Zadanie 8.3.9.
109Zadanie 8.3.10.
109Zadanie 8.3.11.
109Przykład Przykład
110Zadanie 8.4.2.
112Przykład Przykład. Balon
116Zadanie Zadanie 1. Cykl przemian
118Zadanie Zadanie 2. Silnik spalinowy
118Zadanie Zadanie 3. Cząsteczki gazu
119