W tym zadaniu oblicz ciepło pobrane przez gaz w czasie cyklu przemian n = 2 moli jednoatomowego gazu doskonałego przedstawionego na wykresie. Stan termodynamiczny gazu w punkcie (1) jest określony przez parametry p0 i V0, a jego temperatura wynosi T0 = 100 K. Znane są stała gazowa R, ciepło molowe gazu jednoatomowego przy stałej objętości
Gaz pobiera ciepło w przemianach
Zapisujemy równania Clapeyrona dla wszystkich stanów termodynamicznych:
Stąd:
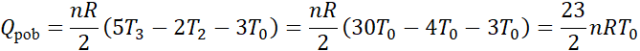
Wstawiając te zależności do równania na ciepło pobrane:
Wstawiając wartości liczbowe:
Odpowiedź: W tym cyklu gaz pobiera 19 113 J ciepła.
Pobrane ciepło jest sumą ciepła pobranego w wyniku przemian, których wzrasta temperatura, czyli izochorycznej przemiany
Przykład Przykład 1.
75Przykład Przykład 2.
76Przykład Przykład 3.
79Przykład Przykład 4.
81Przykład Przykład 5.
83Przykład Przykład 6.
84Zadanie 8.1.3.
86Zadanie 8.1.4.
87Zadanie 8.1.5.
87Zadanie 8.1.6.
87Zadanie 8.1.8.
88Zadanie 8.1.9.
89Zadanie 8.1.10.
89Zadanie 8.1.15.
90Zadanie 8.1.21.
91Zadanie 8.1.24.
91Zadanie 8.1.25.
92Zadanie 8.1.28.
92Zadanie 8.1.30.
93Zadanie 8.1.33.
93Przykład Przykład 1.
94Przykład Przykład 2.
95Przykład Przykład 3.
97Zadanie 8.2.5.
99Zadanie 8.2.8.
100Zadanie 8.2.11.
100Zadanie 8.2.13.
100Zadanie 8.2.14.
101Zadanie 8.2.15.
101Przykład Przykład 3.
103Przykład Przykład 4.
106Zadanie 8.3.7.
108Zadanie 8.3.9.
109Zadanie 8.3.10.
109Zadanie 8.3.11.
109Przykład Przykład
110Zadanie 8.4.2.
112Przykład Przykład. Balon
116Zadanie Zadanie 1. Cykl przemian
118Zadanie Zadanie 2. Silnik spalinowy
118Zadanie Zadanie 3. Cząsteczki gazu
119