W tym zadaniu oblicz najwyższą temperaturę w cyklu przemian przedstawionym na wykresie, jeśli najniższa wynosi T1 = 400 K. Znane są stała gazowa R, ciepło molowe gazu jednoatomowego przy stałej objętości
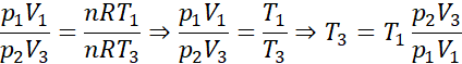
Najwyższa temperatura występuje w stanie 3, więc zapisujemy równania Clapeyrona dla stanów termodynamicznych 1 i 3:
Dzielimy równania stronami:
Podstawiając wartości liczbowe:
Odpowiedź: Najwyższa temperatura w cyklu jest równa 3000 K.
Najwyższa temperatura występuje w stanie, w którym iloczyn ciśnienia i objętości jest największy, czyli w punkcie 3. Zapisujemy równania Clapeyrona dla stanów termodynamicznych 1 i 3, a następnie dzielimy równania stronami i wyznaczamy temperaturę w stanie 3.
Przykład Przykład 1.
75Przykład Przykład 2.
76Przykład Przykład 3.
79Przykład Przykład 4.
81Przykład Przykład 5.
83Przykład Przykład 6.
84Zadanie 8.1.3.
86Zadanie 8.1.4.
87Zadanie 8.1.5.
87Zadanie 8.1.6.
87Zadanie 8.1.8.
88Zadanie 8.1.9.
89Zadanie 8.1.10.
89Zadanie 8.1.15.
90Zadanie 8.1.21.
91Zadanie 8.1.24.
91Zadanie 8.1.25.
92Zadanie 8.1.28.
92Zadanie 8.1.30.
93Zadanie 8.1.33.
93Przykład Przykład 1.
94Przykład Przykład 2.
95Przykład Przykład 3.
97Zadanie 8.2.5.
99Zadanie 8.2.8.
100Zadanie 8.2.11.
100Zadanie 8.2.13.
100Zadanie 8.2.14.
101Zadanie 8.2.15.
101Przykład Przykład 3.
103Przykład Przykład 4.
106Zadanie 8.3.7.
108Zadanie 8.3.9.
109Zadanie 8.3.10.
109Zadanie 8.3.11.
109Przykład Przykład
110Zadanie 8.4.2.
112Przykład Przykład. Balon
116Zadanie Zadanie 1. Cykl przemian
118Zadanie Zadanie 2. Silnik spalinowy
118Zadanie Zadanie 3. Cząsteczki gazu
119